använd att . Då kan du förenkla efteråt.
Edit: Fattar inte varför min text blir avklippt....
Är detta riktigt?
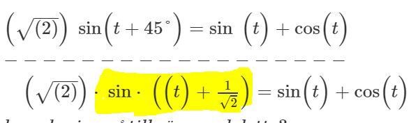
Nej, mellan in 3:e rad från slutet och din 4:e rad från slutet tappar du bort sin(t).
du bort fått
Och när du sedan multiplicerar in roten ur 2 så blir det ....
sin(t)+cos(t) Q.E.D
Var har du fått 1/roten ur två någonstans som är utanför parentesen Joculator?
Hej Päivi.
Det du har gjort med vänsterledet stämmer inte.
Du kan inte multiplicera med "sin", inte heller byta ut mot
Jag har gulmarkerat det som är fel.

Du har glömt att skriva ut argumentet (vinkeln) för sin i första termen och för cos i andra termen (markerat i gult).
Och vad menar du med (inringat i rött)?

Det är alltså v som fattas i sammanhanget. Det är så du menar.
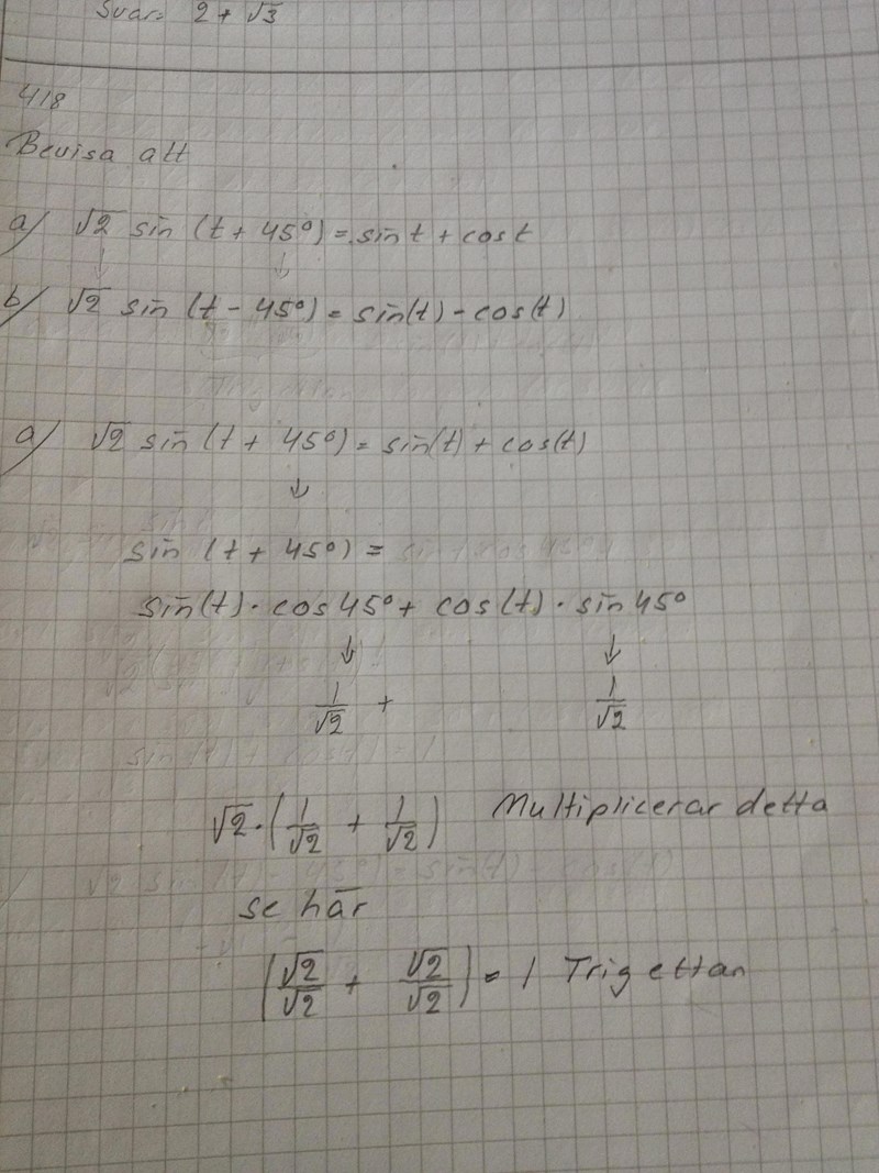
Enligt additionsformeln för sinus så har vi att (alla vinklar i grader)
sin(t + 45) = sin(t)*cos(45) + cos(t)*sin(45)
Eftersom cos(45) = och sin(45) = så får vi att
Men nu var ju vänsterledet , så du måste alltså multiplicera det du fått fram med .
Kan du fortsätta då?
Då är det att multiplicera först med cosinus värdet med roten ur två. Det blir ett. Samma sak med sinus. Det blir ett
Päivi skrev :Det är alltså v som fattas i sammanhanget. Det är så du menar.
EDIT - det är olika vinklar som fattas, precis som Smaragdaleba påpekar.
Det fattas vinklar en vinkel, men inte vilka vinklar vilken vinkel som helst. Vilka vinklar Vilken vinkel är det som fattas?
Det är cosinus. Sinus vet vi att den är 45 grader.
Kvadrerar man 1 minus 1/ roten ur två. Får man
- 1/roten ur två.
Nej. Du har två vinklar: Den ena är t och den andra är 45 grader.
Du vill visa att .
Börja med att använda additionssatsen för sinus på VL - glöm inte att ta med konstanten . Sätt sedan in värdena för sin 45 och cos 45 i uttrycket du har fått fram och förenkla.
Päivi skrev :Det är cosinus. Sinus vet vi att den är 45 grader.
Vad menar du? Cosinus är ingen vinkel. Inte heller sinus.
Däremot är cosinus av en vinkel ett tal.
Exempel: cos(60°) = 0,5.
60° är en vinkel.
0,5 är ett tal.
På samma sätt är sinus av en vinkel ett tal.
Päivi skrev :Då är det att multiplicera först med cosinus värdet med roten ur två. Det blir ett. Samma sak med sinus. Det blir ett
OK och vad blir då resultatet?
resultatet blir
sin(t)+cos(t)
Päivi skrev :resultatet blir
sin(t)+cos(t)
OK och då har du att VL = HL vilket skulle visas.
Är något av detta fortfarande oklart för dig?
Inte nu mera. Jag blev snurrig här. T är vinkel och den andra grader.
Sin v skulle som är i grader skulle multipliceras med roten ur 2. Det blir ett. Det är samma sak som t, om vi använder det istället. Lika med dem andra.
Svaret blir som i höger ledet.
Vilket är riktigt.
Päivi skrev :Inte nu mera. Jag blev snurrig här. T är vinkel och den andra grader.
Sin v skulle som är i grader skulle multipliceras med roten ur 2. Det blir ett. Det är samma sak som t, om vi använder det istället. Lika med dem andra.
Svaret blir som i höger ledet.
Vilket är riktigt.
Jag hoppas att du menar att t också är en vinkel. Och att både vinkeln t och vinkeln 45 är angivna i grader.
Och återigen: sin(v) är ett tal, inte en vinkel.
Så när du skriver att sin(v) är i grader så stämmer det helt enkelt inte. Du kanske tänker rätt, men det du skriver verkar väldigt förvirrat.
Det är så jag menar som du har sagt där. T är alltså en vinkel och det andra har vi i grader. T skulle multipliceras med grader och det i sin tur med roten ur 2.
Päivi skrev :Det är så jag menar som du har sagt där. T är alltså en vinkel och det andra har vi i grader. T skulle multipliceras med grader och det i sin tur med roten ur 2.
t är en vinkel. 45 grader är en vinkel. t + 45 är en vinkel som är 45 grader större än t.
t ska inte multipliceras med grader och absolut inte med roten ur 2.
Däremot ska uttrycket sin(t + 45), som alltså är ett tal, multipliceras med roten ur 2.
Vill bara visa resultatet av det hela.
Päivi skrev :
Nu är det snyggt och tydligt. Bra!
