1
svar
86
visningar
solaris behöver inte mer hjälp
bevisa cosinus
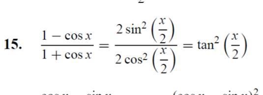
hej jag försöker lösa en uppgift där jag skall bevisa att 1+cosx/1-cosx är samma sak som tan2(x/2). Men jag förstår inte vad dom har gjort i facit
Dom använder att . I ditt fall är och då är .