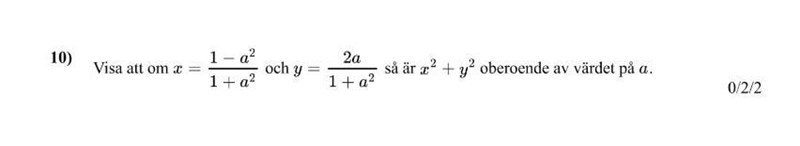
Bevisning (Hjälp med hur jag ska svara)
Behöver hjälp med hur jag ska svara på en fråga för att på få full pott.


Får fram att x2 + y2 = 1 vilket stämmer, har genom detta fått det ena a-poänget men jag antar att jag inte har fått det andra. Undrar då hur jag får den sista a poängen?
Räcker det med att typ skriva "Då x2 + y2 = 1 gör det ingen skillnad ifall A är positivt eller negativt då de A:en tar ut varandra"?
Det går inte säga exakt vad din lärare förväntar sig för att få a-poängen men ja det saknas en slutsats som svarar på frågan exempelvis.
"Efter att vi förenklat uttrycket så är x^2+y^2=1 vilket är ett uttryck som ej består av variabeln a och då inte heller beror av värdet på a."
Alltså där du förklarar varför att du får fram det till 1 faktiskt betyder att det är oberoende av a. Du skulle ju inte visa att det var lika med 1 utan att det var oberoende av a.
Kan också lägga till någon snygg förkortning "V.S.V", (vilket skulle visas) ;)