4 svar
313 visningar
elizabethbolund behöver inte mer hjälp
elizabethbolund 279
Postad: 27 apr 2024 12:49 Redigerad: 27 apr 2024 12:50

Binomialsatsen

Hej!

 

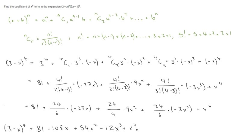
Finns det absolut inget annat sätt att kunna lösa uppgiften utan att förlänga faktorerna? Det tar enormt lång tid, särskilt när man har prov.

 

Detta är bara första steget och det har redan blivit så mycket jobb!

Smutstvätt 23683 – Moderator
Postad: 27 apr 2024 13:32 Redigerad: 27 apr 2024 13:32

Nja, du måste nog inte utveckla. Jag skulle tänka såhär: 

Binomialsatsen säger att a+bn=k=0nnkak·bn-k. För våra faktorer, (3-x)4(3-x)^4 och (2x-1)3(2x-1)^3, blir detta: 

3-x4=k=044k3k·(-x)4-k

respektive 

2x-13=k=033i2xi·-13-i

Vilket innebär att alla termer i produkten kan skrivas som 4k3k·(-x)4-k·3i2xi·(-1)3-i, för heltal mellan 0 och 4 (för k) respektive mellan 0 och 3 (för i). 

 

Det ser väldigt komplicerat ut, men för att hitta vilka värden på k och i som ger x5x^5 behöver vi bara titta på x-termerna: 

4k3k·(-x)4-k·3i(2x)i·(-1)3-i

Tvåan och minustecknet kan vi strunta i så länge – de påverkar inte exponenterna. Så vi har alltså x4-k·xi=x4-k+i. För vilka värden på k och i blir exponenten 5? 

Marilyn 4014
Postad: 27 apr 2024 13:42

Du har två faktorer  a =(3–x)4 och b =(2x–1)3

Om du får x4 fran a så har du x från b

Om du får x3 från a så har du x2 från b

Om du har x2 från a så har du x3 från b

 

a = … x4 – (4 över 1) x31 + (4 över 2) x2 32 +…
b = … (2x)– (3 över 1) (2x)2 11 + (2x)1 (3 över 2) 12 –…

Sedan pusslar du ihop koefficienterna. Jag ser att du redan fått ett svar.

Marilyn 4014
Postad: 27 apr 2024 13:49

x4 x :  1 gånger 2 gånger 3

x3 x2 : 4 gånger 3 gånger 3 gånger 4 gånger minus gånger minus

x2 x3 : 6 gånger 9 gånger 8

totalt 6 + 144 + 432

Kan nog vara felräknat, men metoden tror jag på.

Laguna 32274
Postad: 27 apr 2024 17:05

Små binomialkoefficienter kan man lära sig utantill. Gör man inte det kan man lätt räkna ut dem med Pascals triangel:

         1
       1   1
     1   2  1
   1   3  3  1
  1  4  6  4  1

Här har du dina 4C på femte raden.

Så (x+a)4 = x4 + 4ax3 + 6a2x2 + 4a3x + a4.

Svara
Close