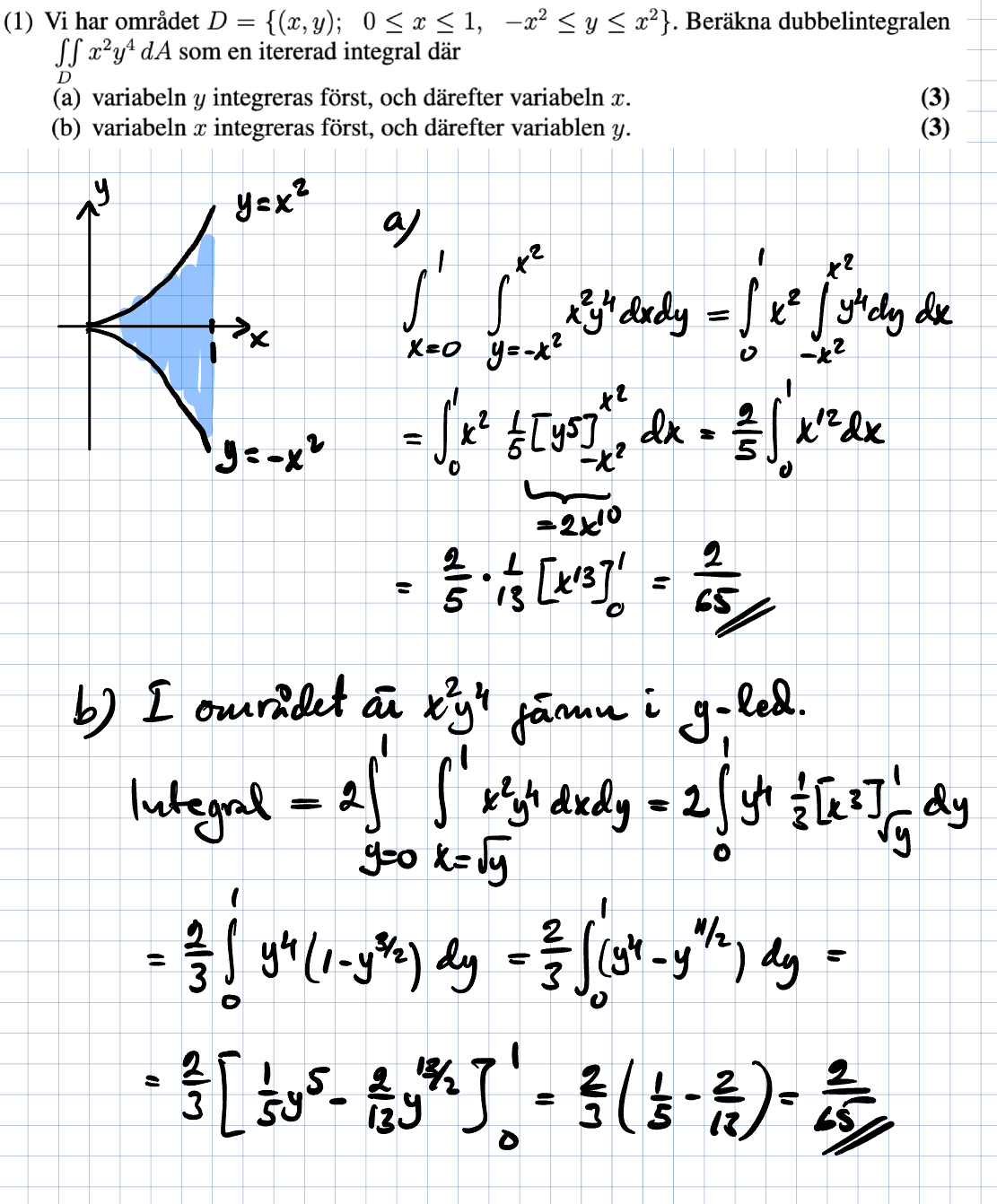
Byte av integrationsordning
Ang denna uppgift:

a) är inga problem för där är det ju bara att sätta in gränserna och integrera på en gång.
Men på b) så fastnar jag.. Hur ska jag tänka för att skriva om området så jag kan integrera map x först?Hur gör jag för att skriva x:s gränser som funktion av y?
Fungerar det inte att bara köra:
?
Hur du har gjort på a) däremot är jag inte helt med på. Det är väl där man måste ändra gränserna som ges av olikheterna?
EDIT: eller missförstår jag vad som menas med ”först”? Jag tolkar det som den yttre integralen.
Om du vill ha map. som yttre integral tror jag du behöver dela upp det i två nästlade integraler… En för området ovanför -axeln och en för området under. Eller kanske låta löpa från och från
"Först" tolkar jag som det som man utför först, och det är den inre integralen.
Milamo22 skrev:Ang denna uppgift:
a) är inga problem för där är det ju bara att sätta in gränserna och integrera på en gång.
Men på b) så fastnar jag.. Hur ska jag tänka för att skriva om området så jag kan integrera map x först?Hur gör jag för att skriva x:s gränser som funktion av y?

Hade det inte varit roligare om svaren på a och b vore olika? Här är integranden positiv och området kompakt så det blir helt riskfritt.
