19 svar
135 visningar
Soderstrom behöver inte mer hjälp
Soderstrom 2768
Postad: 18 okt 2021 15:13 Redigerad: 18 okt 2021 15:13

Curvilinear coordinate system

Har inget facit, men har jag gjort rätt?

PATENTERAMERA 7821
Postad: 18 okt 2021 15:49

Nja, du måste läsa på om kroklinjiga koordinater. Tex här.

Men tänk på att gradienten av ett skalärfält är ett vektorfält, så redan där går det fel.

Soderstrom 2768
Postad: 18 okt 2021 16:07 Redigerad: 18 okt 2021 16:09

Är det dessa två formler som gäller nu alltså? 


Tillägg: 18 okt 2021 16:09

Aha, jag tror att jag måste integrera f(R,ϕ,θ)f(R, \phi, \theta) eller?

PATENTERAMERA 7821
Postad: 18 okt 2021 16:17

De frågar efter gradienten, inte divergensen.

Soderstrom 2768
Postad: 18 okt 2021 16:44 Redigerad: 18 okt 2021 16:46

Ok. Så uttrycket borde bli 

 f=1hRfRR^+1hϕfϕϕ^+1hθfθθ^\displaystyle \nabla f= \frac{1}{h_R}\frac{\partial f}{\partial R}\hat{R}+\frac{1}{h_ \phi}\frac{\partial f}{\partial \phi}\hat{\phi}+\frac{1}{h_ \theta} \frac{\partial f}{\partial \theta}\hat{\theta}

eller?

PATENTERAMERA 7821
Postad: 18 okt 2021 16:50

Ja, fast de ville ha det i allmänna ortogonala kroklinjiga koordinater först. Och sedan konkret för sfäriska koordinater.

Soderstrom 2768
Postad: 18 okt 2021 16:55

Hade gärna uppskattat om du kunde visa vad du menar.

PATENTERAMERA 7821
Postad: 18 okt 2021 16:57

De allmänna formlerna står i länken som nämnde tidigare.

Soderstrom 2768
Postad: 18 okt 2021 17:04

Ja. Det var så jag listade ut vad det skulle bli :(

PATENTERAMERA 7821
Postad: 18 okt 2021 17:08

Jo, men du skrev ut speciellt för sfäriska koordinater. Använd generella beteckningar tex u, v , w, eller u1, u2, u3.

Soderstrom 2768
Postad: 18 okt 2021 17:21 Redigerad: 18 okt 2021 17:22

Jaja... :/ typ så? 

f(u,v,w)=1hufuu^+1hvfvv^+1hwfww^\displaystyle \nabla f(u,v,w)= \frac{1}{h_u}\frac{\partial f}{\partial u}\hat{u}+\frac{1}{h_ v}\frac{\partial f}{\partial v}\hat{v}+\frac{1}{h_ w} \frac{\partial f}{\partial w}\hat{w}

PATENTERAMERA 7821
Postad: 18 okt 2021 17:23

Precis.

Soderstrom 2768
Postad: 18 okt 2021 17:59

Rätt?

PATENTERAMERA 7821
Postad: 18 okt 2021 19:50

Nej. h:na är helt fel - kolla länken igen. R2R=2R2R2

Soderstrom 2768
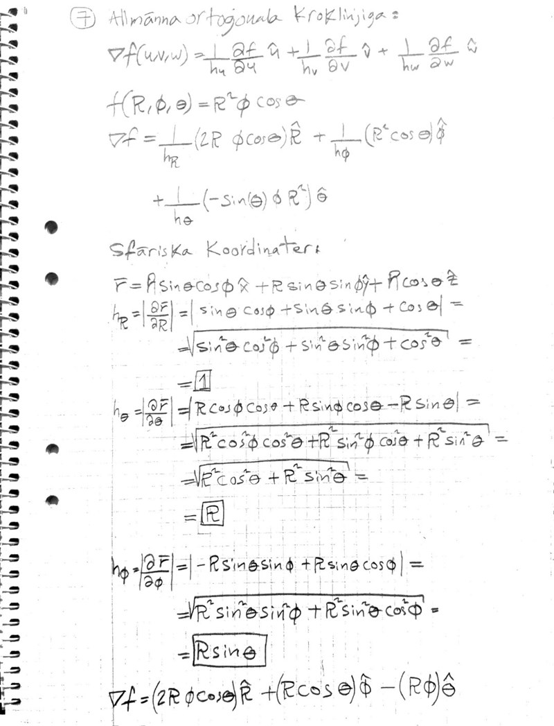
Postad: 18 okt 2021 20:08 Redigerad: 18 okt 2021 20:09

Jag håller inte med om det tror jag. Dock håller jag med om att jag deriverade fel med avseende på RR

1hRfRR^=1hR·(2Rϕcos(θ))R^\displaystyle \frac{1}{h_R}\frac{\partial f}{\partial R}\hat{R}=\frac{1}{h_R} \cdot (2R \phi cos(\theta))\hat{R}

Därefter räknar jag ut skalfaktorn hR\displaystyle h_R genom att |fR|=|(2Rϕcos(θ))|=(2Rϕcos(θ))\displaystyle |\frac{\partial f}{\partial R}|=|(2R \phi cos(\theta))|=(2R \phi cos(\theta))

Om det jag skriver är fel, då vet jag inte hur jag ska vidare. Här läst i länken.

PATENTERAMERA 7821
Postad: 18 okt 2021 20:39

Nja, skalfaktorerna har ingenting med funktionen f att göra, de beror på det koordinatsystem som man valt.

hRrR

hϕ=rϕ

hθ=rθ

r=Rsinθcosϕex +  Rsinθsinϕey +  Rcosθez

Soderstrom 2768
Postad: 18 okt 2021 21:52

Nu måste det stämma?

PATENTERAMERA 7821
Postad: 18 okt 2021 22:26

f = 2RϕcosθR^ +  Rcotθϕ^ +  -Rϕsinθθ^.

Soderstrom 2768
Postad: 18 okt 2021 22:34 Redigerad: 18 okt 2021 23:04

Hur?????? Jag får jag skalfaktorn 1hϕ=Rsinθ\frac{1}{h_\phi}=Rsin\theta och då får jag: 1Rsinθ(-sin(θ)ϕR2)θ^=-Rϕθ^ \frac{1}{Rsin\theta}(-sin(\theta) \phi R^{2}) \hat{\theta}=-R \phi \hat{\theta}....

Edit: Jag ersätter skalfaktorn hϕh_\phi i fel ställe.


Tillägg: 18 okt 2021 23:07

Jag får nu samma svar som dig PATENTERAMERA. 

PATENTERAMERA 7821
Postad: 18 okt 2021 23:16

👍

Svara
Close