Definitionerna i Leonhard Eulers verk
Hej igen! Jag har en fråga till.
Om ni inte har läst min tidigare fråga, rekommenderar jag att ni gör det först. Här är länken till den: https://www.pluggakuten.se/trad/harledning-fran-de-moivres-formel-i-leonhard-eulers-verk/
Ni kan få tillgång till Eulers verk via denna länk: https://www.17centurymaths.com/contents/euler/introductiontoanalysisvolone/ch8avol1.pdf och den sista bilden togs från sidan 214 (eller sidan 13 i PDF-filen).

Min fråga fokuserar på det som står nedan och har en koppling till det som visas ovan.

Det känns förvirrande för mig eftersom Euler använde notationer som jag anser är föråldrade idag. I modern notation skulle jag skriva det så här:
i är det imaginära talet, medan v och n är variabler. Dessa variabler har jag valt eftersom de har en koppling till de moderna notationerna för definitionen av Eulers tal:
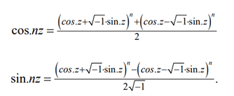
Om man ersätter med blir resultatet:
(Se nederst på https://www.matteboken.se/lektioner/matte-3/derivata/talet-e#!/ för definitionen)
Denna definition är exakt densamma som Euler skrev i sitt verk, men utan användning av gränsvärden.
Låt oss återgå till frågan: Varför bytte Euler ut dessa trigonometriska funktioner mot variabler? Det verkar som att gränsvärdesbegreppet inte existerade på Eulers tid. Beskrev han i som ett oändligt tal istället för ?
När det gäller z står det att ? Jag förstår inte vad han menar med att "iz kan behålla ett ändligt värde v". Menar han att ? Nä, det är verkligen omöjligt.
Slutligen, varifrån fick Euler dessa definitionerna?
nz=v
z=v/i
sin.z=v/i
cos.z=1
Jag gissar på att han tänker att och att men att hålls konstant lika med något tal , t.ex. genom att välja . Dock är inte nödvändigtvis ett heltal, som gör resonemanget något mer komplicerat. Hans något underliga resonemang kanske har med det att göra.
Gränsvärde som koncept fanns absolut under Eulers tid, men inte i den moderna bemärkelsen med den s.k. -definitionen. Kanske därför han skriver som han gör med "oändligt stora tal".
Men idén är i varje fall att studera vad som händer med formeln asymptotiskt om vi krymper och växer ungefär lika snabbt.
Jag vet inte varför han introducerar i, det verkar ju vara samma som n.
Eftersom då så använder han approximationen som fungerar bra för små värden på , med likhet då .
På samma sätt gäller att då .
Kanske därför han skriver som han gör med "oändligt stora tal".
Det är nästan garanterat därför han skriver så. Det är nog även därför han talar om "oändligt små" tal. Bland de reella talen existerar det inga infinitesimaler eller oändligheter men matematiker på 1700-talet och fram till Weierstraß egentligen jobbade med dessa objekt ändå.
Det är en vanföreställning att dessa objekt inte är "rigorösa" och egentligen behöver man inte gränsvärden. Nu råkar det ha blivit den dominerande formalismen eller vad man ska säga så man får anapassa sig till det :/
naytte skrev:Kanske därför han skriver som han gör med "oändligt stora tal".
Det är nästan garanterat därför han skriver så. Det är nog även därför han talar om "oändligt små" tal. Bland de reella talen existerar det inga infinitesimaler eller oändligheter men matematiker på 1700-talet och fram till Weierstraß egentligen jobbade med dessa objekt ändå.
Det är en vanföreställning att dessa objekt inte är "rigorösa" och egentligen behöver man inte gränsvärden. Nu råkade det ha blivit den dominerande formalismen eller vad man ska säga så man får anapassa sig till det :/
Fast man gick väl över till gränsvärden m.m. i analysen just eftersom man oroade sig över att infinitesimaler saknade formell grund? Det var ju inte förrän 1900-talet som icke-standard analys uppkom. Så det var ju inte en vanföreställning då, åtminstone.
Antagligen använder man gränsvärden för att det uppkom tidigare och kanske kan anses mindre avancerat. Lite av en tillfällighet med andra ord. Typ som att ZFC fick bli den allmänt vedertagna formella grunden för matematik.
Hela matematiken saknade väl formell grund förrän någon gång på 1900-talet? Alltså ett tag efter Weierstraß och --definitionens födelse?
Men ja, du har rätt i att den enda teorin som innehåller infinitesimaler som är kraftfull nog för all analys inte kom förrän efter 60-talet, då Łoś sats bevisades. Med det sagt finns det mer en bara ett sätt att införa infintesimaler så det är oklart om det är den enda möjliga teorin.
(Jag menar teori i bemärkelsen "theory of infinitesimals")
naytte skrev:Hela matematiken saknade väl formell grund förrän någon gång på 1900-talet? Alltså ett tag efter Weierstraß och --definitionens födelse?
Men ja, du har rätt i att den enda teorin som innehåller infinitesimaler som är kraftfull nog för all analys inte kom förrän efter 60-talet, då Łoś sats bevisades. Med det sagt finns det mer en bara ett sätt att införa infintesimaler så det är oklart om det är den enda möjliga teorin.
(Jag menar teori i bemärkelsen "theory of infinitesimals")
Ja, jo det kan man nog säga. Jag tänker att mycket av anledningen att man sökte sig till en stabilare och ner rigorös grund var just att man ville att analysen skulle vila stadigare, är min uppfattning. Jag har förstått det som att det inte fanns någon formell definition av infinitesimaler, utan att gränsvärdet mer eller mindre "konkurrerade ut" begreppet, åtminstone tills senare.
Okej, det verkar lite komplicerat. Men jag har börjat förstå lite bättre nu.
Om man inför en ny okänd variabel, betecknad v, som inte representerar något specifikt tal, kan den definieras som:
eller
Med andra ord, när z går mot 0, går n mot oändligheten och vice versa. Det stämmer verkligen och detta gäller för alla tal som v representerar.. Om man vill isolera v, blir resultatet:
Eftersom , kan man ersätta i och med .
Låt:
Således kan de trigonometriska funktionerna ersättas med de ovanstående:
Stämmer det som jag har förstått?