Derivata
hejsan skulle behöva ha hjälp med uppgiften
Hej Biorr!
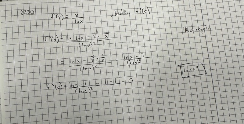
Det första du kan göra är att derivera f(x). Har du gjort det? Vet du hur man gör det? (Tips! Använd produktregeln)
Om du har gjort det så behöver du bara sätta in talet e i derivatafunktionen och då får du funktionsvärdet vid x = e för derivatafunktionen.
är det inte bättre med kvotregeln?
Biorr skrev:
är det inte bättre med kvotregeln?
Det är det men jag säger bara att kvotregeln är basically produktregeln, där andra funktionen är 1/g(x)
Biorr skrev:
är det inte bättre med kvotregeln?
Derivatfunktionen du får är fel. Testa igen
Biorr skrev:
Mycket bra! Du löste det :)
Om du är extra nyfiken så kan du resonera kring vad det betyder. Vilken slags extrempunkt är det? (det är utanför uppgift och efterfrågas inte, men om du vill så kan du göra matten och se det :P )
är det inte bättre med kvotregeln?
är det inte bättre med kvotregeln?