1
svar
48
visningar
derivera

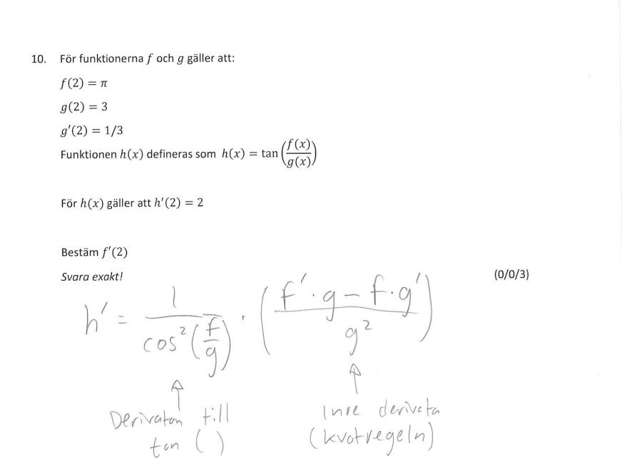
hur vet de att derivatan av tan (x) är cos¨^2 (f/g)
tan(x)=sin(x)/cos(x)
Om du tillämpar kvotregeln, får du att tan'(x) = 1/cos2(x).