Derivera..
Hej
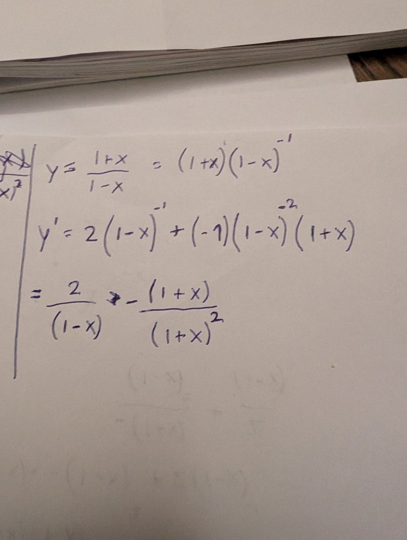
Hur deriverar man 3108 b)?
Jag skrev om nämnaren som (1-x)^-1 och försökte köra produktregeln på allt men det blev fel

Hur blev det när du försökte göra det?
Såhär. Jag gissar mest på (1+x), jag vet inte hur det ska tolkas.

Jag hänger inte riktigt med. Vad händer här?

Sedan har du missat att gångra med inre derivata i den andra termen (inre derivata av ).
Det finns nog inte så mycket att hänga med på. Jag gissar som sagt.
(1+x), då fick jag för mig att det då är (1+x)^1, sen tänkte jag kedjeregeln på det. Sen har jag osäker på om 1an i uttrycket skulle bli 0 eller 1, men i och med att den ingick i en faktor blev beslutet att den skulle vara kvar. Och derivatan av x är 1.
Och, nej, jag vet inte bara. Fick inte ihop det nu själv XD
Jag skulle säga att det blir
Då är det så. Okej 🙂
Tack.
Verifiera gärna att det stämmer. Jag är också människa...!
🙂 stämmer

Det är samma!