derivera bråk och logaritmer
Hur kan jag skriva om det här bråket?

Nu har jag inte tittat igenom alla dina beräkningar som lett fram till det men när man nått något sådant som du gjort på sista raden så brukar ett bra koncept vara att multiplicera med konjugatet i täljare och nämnare det vill säga multiplicera med eftersom roten i nämnaren då kommer "försvinna" i alla fall
Jag kommer ändå inte fram till rätt svar :/
Linnimaus skrev:Jag kommer ändå inte fram till rätt svar :/
Visa hur du gjort så kan vi hjälpa dig :)
Detta är sannerligen inte enkelt. Jag försökte arbeta om lite men jag kan inte garantera att allt här blivit rätt då det är många steg och dessutom inte blivit helt snyggt ändå... Tror det finns bättre vägar fram.
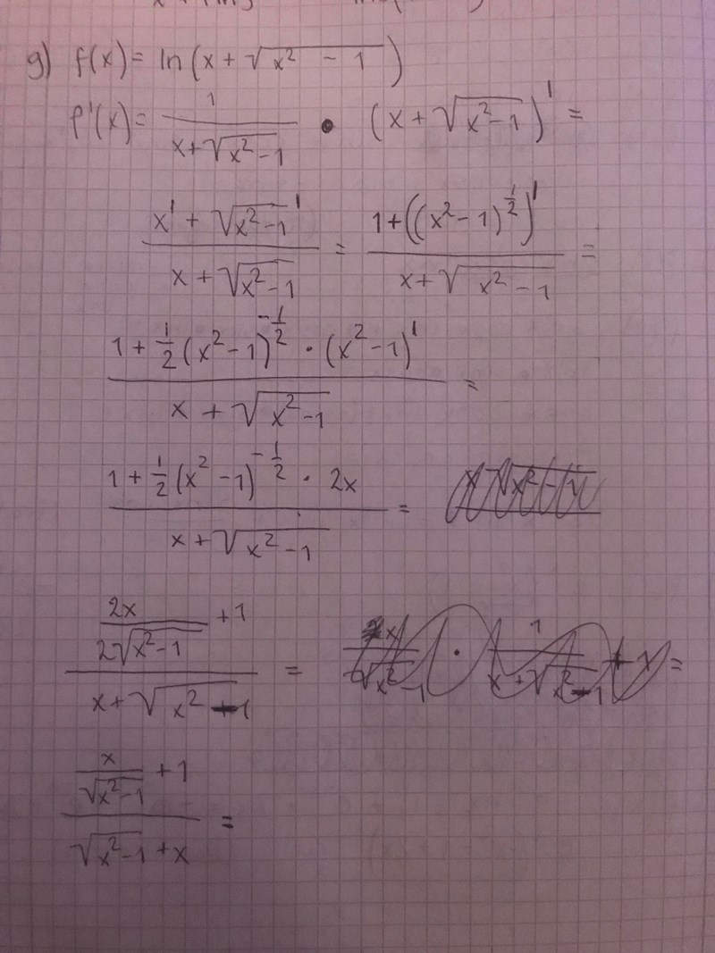
Alltså jag har istället försökt multiplicera bråket med nämnaren, men kommer inte vidare där heller. Kolla bilden.

Jag slog in det på Symbolab åt dig om du vill se hur de gör det:
https://www.symbolab.com/solver/step-by-step/simplify%20%5Cfrac%7B%5Cfrac%7Bx%7D%7B%20%5Csqrt%7Bx%5E%7B2%7D-1%7D%7D%2B1%7D%7B%20%5Csqrt%7Bx%5E%7B2%7D-1%7D%2Bx%7D
Ääääääääntligen! Tack ska du ha!
Linnimaus skrev:Alltså jag har istället försökt multiplicera bråket med nämnaren, men kommer inte vidare där heller. Kolla bilden.
Du kan göra så här:
Någon har säkert redan svarat tills nu :).
Men jag postar ändå ;) Hoppas det ökar din förståelse någorlunda iallafall.
Visst kan det vara jobbigt att utveckla allt, men om man bara håller sig till reglerna och håller reda på alla minus och plustecken här o var så ska det inte vara några problem. Prova själv, jag tror du fixar det efter något försök :)
Vad ni krånglar till det.
= = =
Laguna skrev:Vad ni krånglar till det.
= = =
Nice!
Så kan man också göra, hade inte tänkt på det, mycket snyggt Laguna! :)
Alltså om det står + x i både täljare o nämnare kan man förkorta?
Kan du visa exakt vad du syftar på?
Men nej om det står +x i både täljare och nämnare går det INTE att förkorta mot varandra. Endast faktorer(multiplikation) går att förkorta mot varandra
Jag syftar på Lagunas sista steg. Jag förstår inte vad som gjorts där
Jag tror kanske du menar Lagunas steg här
Det som händer här är att Laguna skriver om med hjälp av regeln alltså att man inverterar bråket. Här är mellansteget med så blir det tydligare
Nu kan du tydligare se att hela är en faktor i både täljare och nämnare som kan förkortas bort
Ja just det. Glömmer A L L T I D att man kan göra så :(
Jag orkade inte skriva ett par steg på slutet, men det borde jag ha gjort. Själv "bara såg" jag att det blev så...