6
svar
73
visningar
Dkcre behöver inte mer hjälp
Derivera trigonometrisk funktion
Hej!
Hur deriverar man funktionen enligt 3113?

Du kan välja att köra på kvotregeln direkt eller använda kedjeregeln. Välj det du tycker verkar enklast, eller i bästa fall båda så att du ser att svaret blir samma!
Vi hjälper dig om du kör fast.
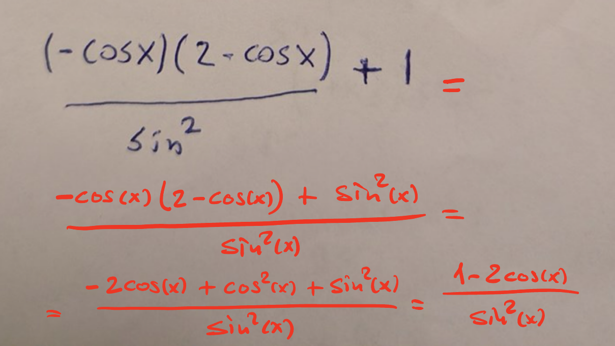
Såhär gjorde jag med produktregeln nu..
Ser ju att det är väldigt annorlunda mot hur facit skrivit

Kvotregeln

Dkcre skrev:Kvotregeln
Rätt
Tack, men varför blir det fel med produktregeln?
