11 svar
971 visningar
esundajn 5 – Fd. Medlem
Postad: 12 maj 2020 12:47

Diskontinuitet

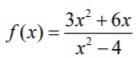
Hej, får inte till det med följande uppgift...

För vilka x är funktionen diskontinuelig? 

Och är den hävbar?

cjan1122 416 – Fd. Medlem
Postad: 12 maj 2020 12:58 Redigerad: 12 maj 2020 12:59

När blir nämnaren 0?

När det gäller att häva diskontinuiteten, iaf en av dem, börja med att kolla om du kan förkorta bråket genom att faktorisera täljaren och nämnaren. 

esundajn 5 – Fd. Medlem
Postad: 12 maj 2020 13:32

Nu har jag faktoriserat och förenklat så långt det går, betyder det att funktionen är icke hävbar eftersom att det fortfarande blir 0 i nämnaren med x=2?

 

cjan1122 416 – Fd. Medlem
Postad: 12 maj 2020 13:46

Innan förkortningen var den inte definierad för x=2 och x=-2. Nu är det bara x=2 som är förbjudet. Detta innebär att du kan häva diskontinuiteten för x=-2 i det ursprungliga uttrycket. Detta gör du genom att kolla värdet för x=-2 i det nya uttrycket och ge den det värdet i x=-2.

Testa att rita upp funktionen i en grafräknare/hemsida så blir det nog tydligare. Då kan du se att gränsvärdena från höger och vänster vid x=-2 sammanfaller. Då kan du häva den diskontinuiteten genom att helt enkelt ge den det värdet.

Laguna Online 31940
Postad: 12 maj 2020 13:46

För x = 2 är det så, det stämmer. Hur är det med x = -2?

esundajn 5 – Fd. Medlem
Postad: 12 maj 2020 14:01

Jag förstår inte vad jag ska göra med -2?  Hur ser jag om funktionen är hävbar?

Smaragdalena 78892 – Avstängd
Postad: 12 maj 2020 16:46

Du har tagit bort diskontinuiteten i punkten x = -2 genom att förkorta bort faktorn (x+2). Nu har du kvar funktionen g(x)=3xx-2g(x)=\frac{3x}{x-2}, d v s det finns fortfarande ett värde (x = 2) som ger nämnaren värdet 0. Finns det någon möjlighet att förkorta bort nämnaren?

JohanB 168 – Lärare
Postad: 12 maj 2020 20:10

Varför anser ni att funktionen är diskontinuerlig i x=-2?

Laguna Online 31940
Postad: 12 maj 2020 20:40
JohanB skrev:

Varför anser ni att funktionen är diskontinuerlig i x=-2?

f(x) är inte definierad där.

esundajn 5 – Fd. Medlem
Postad: 14 maj 2020 09:14

Hej hörni, jag får fortfarande inte till det. Vad är nästa steg efter att jag förenklat till 3x/x-2 ?

Smaragdalena 78892 – Avstängd
Postad: 14 maj 2020 14:08 Redigerad: 14 maj 2020 14:08
esundajn skrev:

Hej hörni, jag får fortfarande inte till det. Vad är nästa steg efter att jag förenklat till 3x/x-2 ?

Glöm inte parenteserna i nämnaren - det du har skrivit nu betyder 3xx-2=3-2=1\frac{3x}{x}-2=3-2=1 och det var väl inte det du menade?

Qetsiyah 6616
Postad: 14 maj 2020 14:38 Redigerad: 14 maj 2020 14:45
JohanB skrev:

Varför anser ni att funktionen är diskontinuerlig i x=-2?

Haha, bra johan, jag frågade detta en gång förrut.

https://www.pluggakuten.se/trad/analys-ar-1-x-en-kontinuerlig-funktion/

https://en.wikipedia.org/wiki/Classification_of_discontinuities 

Svara
Close