4
svar
138
visningar
Ghuzal behöver inte mer hjälp
Diskret matematik Tal i Z73
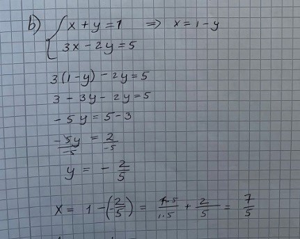
Hej!
Skulle nån kunna hjälpa mig med denna uppgift?

Jag har börjat som bilden nedan. Jag undrar hur jag kan ändra svaret till Z73.

Vad som står nedanför gäller i Z_{73}
-5y=2
Det går inte att dela med 5. Instället ska du lösa följande ekvation
-5y-2=73p
där p är ett heltal
Man kan betrakta division med 5 som multiplikation med inversen av 5, dvs ett tal m sådant att 5m är kongruent med 1 modulo 73.
Men att hitta det är nog inte lättare än att lösa -5y-2=73p.
Du får:
-5y =2 i Z_73.
I Z kan detta skrivas
-5y=2+73n för något n.
Det kan du lösa som en diofantisk ekvation, men du kan också se lösningen (testa n=1).
Tack alla för svar!
Jag hänger äntligen med.