Division av bråk, behöver hjälp
Jag prova att rita upp det och att omvandla bråket från blandad form till bråkform men det går fortfarande inte att lösa för mig.
Jag får alltid svar som inte stämmer, svaret ska enligt facit bli 125 varv
(Nummer 97)
Hur ser det ut när du försöker?
Jag gjorde först
33 1/3 = 100/3 och sen omvandla tiden till bråk som e då 3 45/60 = 165/60
Sen för att göra det till samma nämnare så gjorde jag: 100/3 x 2 = 200/6 och sen 200/6 x 10 = 2000/60
Till sist så delade jag dem två:
2000/165 men det blir något helttttt annat
Tre gånger 60 är inte 120.
Oj då va dum jag e 🤦🏻♀️
Toya skrev:Jag gjorde först
33 1/3 = 100/3 och sen omvandla tiden till bråk som e då 3 45/60 = 165/60
Sen för att göra det till samma nämnare så gjorde jag: 100/3 x 2 = 200/6 och sen 200/6 x 10 = 2000/60
Till sist så delade jag dem två:
2000/165 men det blir något helttttt annat
Du är inte dum, tvärtom är du på rätt spår.
Jättebra att du gjorde om 33 1/3 till 100/3 varv/minut.
Förutom räknefelet som naytte påtalade var det också helt rätt att göra om 3 min 45 s till minuter:
3+45/60=(3*60+45)/60=225/60 minuter.
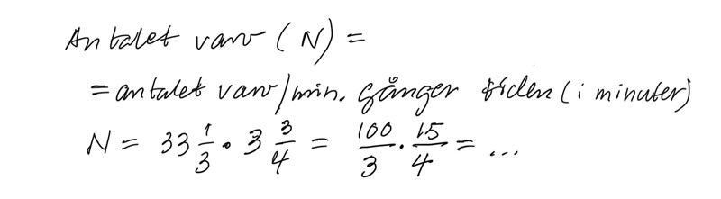
Rotationshastigheten är hur många varv per minut som skivan snurrar. Du vet antal minuter, alltså är det som Jan Ragnar skrev multiplikation du ska använda.
För att göra bråket med antalet minuter enklare bör du förkorta 15/60 innan du adderar 3, det är det Jan Ragnar gjort för att få 15/4.
Förkorta sen så mycket som möjligt innan du multiplicerar ihop 100/3*15/4
