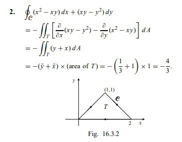
dubbelintegral
Hej jag undrar vad som händer i sista steget, vi håller på meed greens sats.
Det blir -(y+x) fast som vektorer... - är väl för att det går motsols men varför vektorer och hur bestäms de till 1/3 o 1?


(1,1/3) är tyngdpunkten av triangeln.
Macilaci skrev:(1,1/3) är tyngdpunkten av triangeln.
Hur gör jag om jag inte vill härja med tyngdpunkter osv? Kan man inte göra två integraler för y=x och y=-x o addera ihop dem?
jodå,
och
osv
... men det blir ju åtminstone fem gånger så jobbigt.
Ok. Man vill alltså använda tyngdpunkten pga förenkling. Så det dem gör ät alltså att addera ihop koordinaten för tyngdpunkten och sedan multiplicera det med arean för att få fram.. massan? Jag är lite små lost här hehe.
Har för mig att man kunde integrera en densitetsfunktion för att få fram massa osv men hänger inte riktigt md här på varför eller något..
Det jag fattar är att begynnelse integralen ser klurig ut och kan enkelt förändras till en dubbelintegral mha greens sats. Sedan antar jag att man väljer att härja med tyngdpunkt pga svårt område?
Så här beräknar man tyngdpunkten: https://www.youtube.com/watch?v=jxeQlnKGrVo
Densiteten är 1.
Det är klart att t.ex. kan ersättas med xmc*A
Och detta kan användas för alla linjära funktioner.