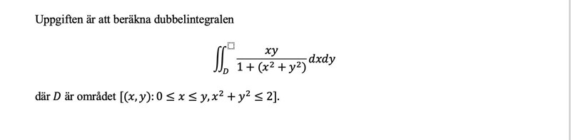
Dubbelintegral
Jag behöver hjälp med denna fråga. 
Jahopp. Det är svårt att gissa var du behöver hjälp. Troligtvis med gränserna, men hur har du tänkt?
Om du inte redan gjort det är ju första steget att bestämma sig för ett variabelbyte. brukar vara ett tecken på att ett visst variabelbyte kan vara gynnsamt. Vilket?
Man kan studera symmetrier också.
Standardfråga 1a: Har du ritat? Ritat upp området D, alltså.
woozah skrev:Jahopp. Det är svårt att gissa var du behöver hjälp. Troligtvis med gränserna, men hur har du tänkt?
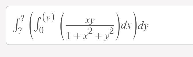
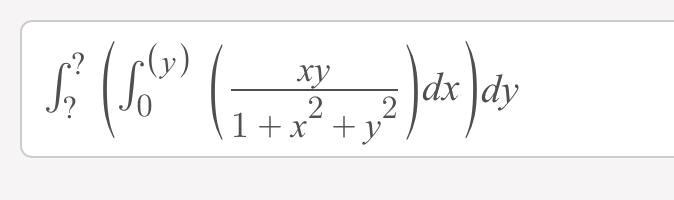
Ja exakt...jag har svårt med gränserna.....Jag har kommit såhär långt men vet inte var gränserna för y-axeln går till.....
Smaragdalena skrev:Standardfråga 1a: Har du ritat? Ritat upp området D, alltså.
Ja men har svårt att läsa av
var gränserna för y-axeln går till..
seta.77 skrev:Smaragdalena skrev:Standardfråga 1a: Har du ritat? Ritat upp området D, alltså.
Ja men har svårt att läsa av
var gränserna för y-axeln går till..
Hur ser området D ut? Det är inte mycket lönt att vi försöker hjälpa dig att hitta gränserna förrän vi vet om du har ritat upp rätt område. Lägg in bilden här i tråden!
Om du fixerar ett x-värde så säger olikheterna att
Vilka x-värden kan komma i fråga?
Om du fixerar ett y-värde så säger olikheterna att och vilket betyder att
Vilka y-värden kan komma ifråga?
Det är mer lämpligt att uttrycka integranden och området i planpolära koordinater, men om du vill arbeta med de givna xy-koordinaterna så behöver du besvara frågorna i mina tidigare inlägg.
Laguna skrev:Man kan studera symmetrier också.
Jag ser nu att det inte finns så mycket användbar symmetri i det aktuella området. Jag missade att x >= 0.
Laguna skrev:Laguna skrev:Man kan studera symmetrier också.
Jag ser nu att det inte finns så mycket användbar symmetri i det aktuella området. Jag missade att x >= 0.
Som jag har sagt många gånger tidigare - det är bra att börja med att rita upp området.
Smaragdalena skrev:Laguna skrev:Laguna skrev:Man kan studera symmetrier också.
Jag ser nu att det inte finns så mycket användbar symmetri i det aktuella området. Jag missade att x >= 0.
Som jag har sagt många gånger tidigare - det är bra att börja med att rita upp området.
Mm. Jag ritade ju rätt men med fel förutsättningar.
Smaragdalena skrev:Laguna skrev:Laguna skrev:Man kan studera symmetrier också.
Jag ser nu att det inte finns så mycket användbar symmetri i det aktuella området. Jag missade att x >= 0.
Som jag har sagt många gånger tidigare - det är bra att börja med att rita upp området.
Du pratar inför döva öron 😋.
Förvånande hur många som struntar i att rita, speciellt med tanke på hur enkelt det gör i princip varenda integral.
Däremot är det viktigt att också kunna lösa uppgiften algebraiskt. När man kommer till exempelvis fyrdimensionella integraler finns det inte särskilt mycket rithjälp att tillgå. Då är det bra att ha övat sig utan att rita i tre dimensioner, även om man så klart inte ska underskatta värdet av att kunna rita upp området när det är möjligt.
AlvinB skrev:Däremot är det viktigt att också kunna lösa uppgiften algebraiskt. När man kommer till exempelvis fyrdimensionella integraler finns det inte särskilt mycket rithjälp att tillgå. Då är det bra att ha övat sig utan att rita i tre dimensioner, även om man så klart inte ska underskatta värdet av att kunna rita upp området när det är möjligt.
Absolut. Men varför göra det svårt för sig? Visst måste man ren mekaniskt utföra vissa operationer, men anledningen till varför högre dimensioner kan bli svårt är ju just att den geometriska informationen inte går att rita. Varför då välja bort det när man (om vi kunde) hade använt det i alla dimensioner?
Om du använder planpolära koordinater så kan integrationsområdet skrivas
och differentialytelementet
samt integranden
.
Sätt ihop alla delar för att beräkna integralen.
Albiki skrev:Om du använder planpolära koordinater så kan integrationsområdet skrivas
och differentialytelementet
samt integranden
.
Sätt ihop alla delar för att beräkna integralen.
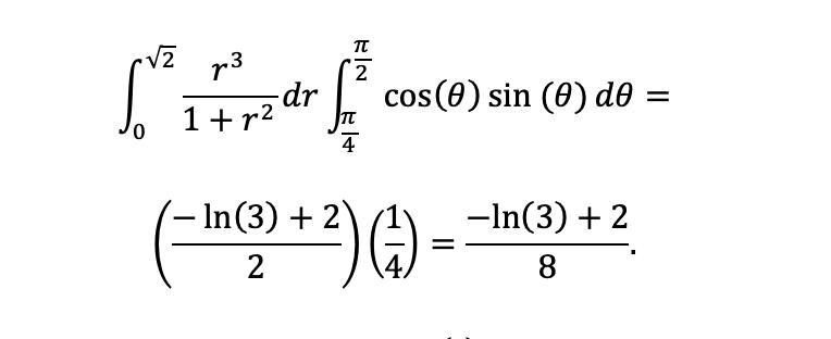
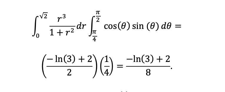
Jag tänkte så: "Det blir en cirkelskiva/tårtbit av cirkeln mellan x-axeln och linjen y=x. Så intervallet i x är 0≤x≤sqrt(2) och intervallet i y är 0≤y≤x. Precis som ni andra har sagt.... blir det enklare om jag ersätter x och y med polära koordinater så att x=rcos(a) och y=rsin(a) där r är radien i cirkeln, alltså r=sqrt(2), och a är vinkeln mellan x-axeln och linjen y=x. Så intervallet för r och a är 0≤r≤sqrt(2) och 0≤a≤pi/4.
Är jag på rätt spår? :/
Nja, observera att olikheten är och inte .
representerar området mellan -axeln (linjen ) och linjen . Vad ger det för gränser för vinkeln?
AlvinB skrev:Nja, observera att olikheten är och inte .
representerar området mellan -axeln (linjen ) och linjen . Vad ger det för gränser för vinkeln?

seta.77 skrev:AlvinB skrev:Nja, observera att olikheten är och inte .
representerar området mellan -axeln (linjen ) och linjen . Vad ger det för gränser för vinkeln?
0<y<sqrt(2) och 0<x<y Då blir det pi/4<a<pi/2 ...enligt den nya grafen som jag har ritat...:/
seta77, du vet väl att du kan redigera ditt förra inlägg så att du slipper spamma tråden med ett extra citat? /moderator
