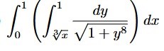
Dubbelintegral, knepig rot i nämnaren
Uppgiften må verka liten, men jag är helt borta. Har försökt med variabelbyten och att ändra gränserna, men har inte fått ihop något. Lite hjälp på traven hade upskattats!
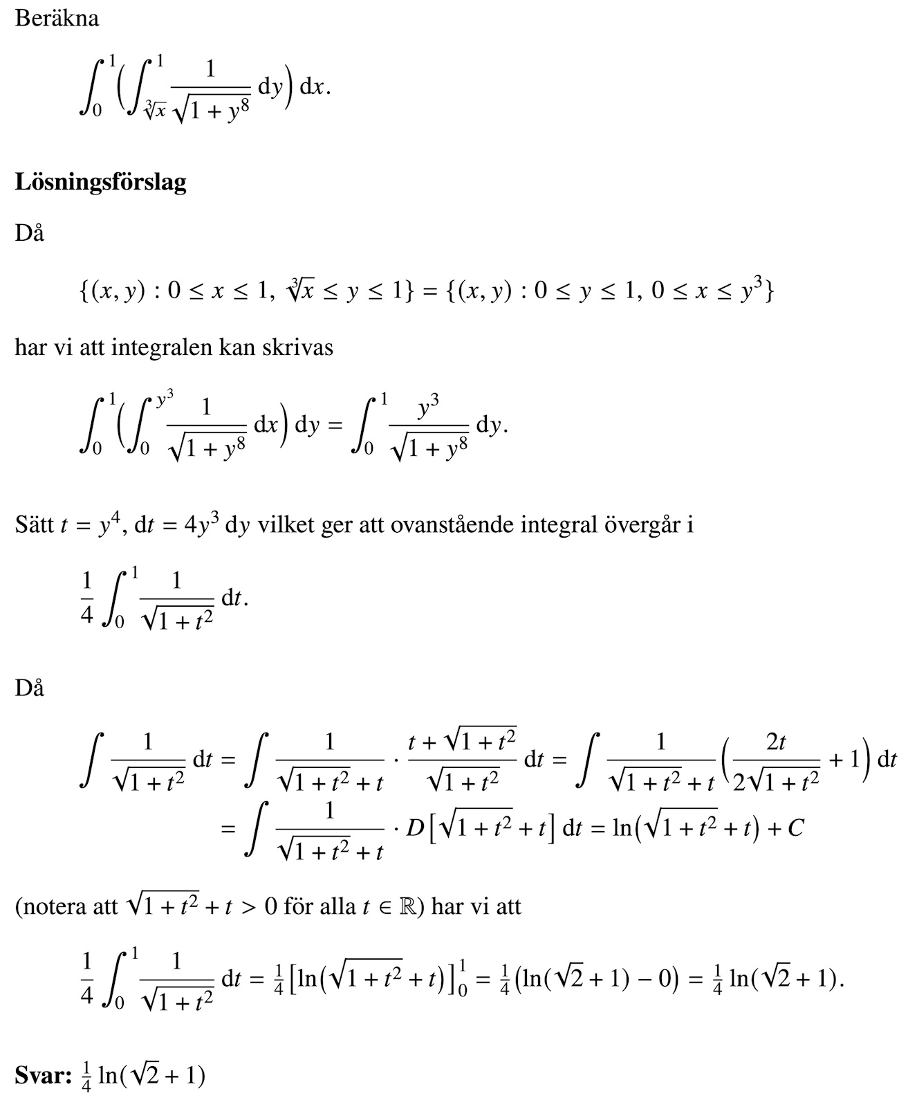
Gick det inte att tänka:
och
kan ändras om till
och börja med att integrera map .
Inte helt trivial, men lite listig (om man inte har en tabell över kända integraler d.v.s.)
Man borde ju rätt enkelt (om vi följer MrPotatoheads råd) kunna skriva om integralen:
Här kan man nog vara lite finurlig...
Jajemän, nu gick det. Märkte att jag nog måste läsa på standardintegralerna en smula :)
Snyggt!
Vill du visa hur du gjorde? Jag är tydligen inte tillräckligt finurlig för att kunna lösa denna utan standardintegraler 😅
naytte skrev:Snyggt!
Vill du visa hur du gjorde? Jag är tydligen inte tillräckligt finurlig för att kunna lösa denna utan standardintegraler 😅
Någonting i denna stil?

Snyggt!
Coolt dessutom att det finns två representationer av det exakta svaret på denna integral, ty
Jag citerar ett stycke från wikipedia-artikeln:
"Because the argument of hyperbolic functions is not the arc length of a hyperbolic arc in the Euclidean plane, some authors have condemned the prefix arc-, arguing that the prefix ar- (for area) or arg- (for argument) should be preferred.[6] Following this recommendation, the ISO 80000-2 standard abbreviations use the prefix ar- (that is: arsinh, arcosh, artanh, arsech, arcsch, arcoth)."