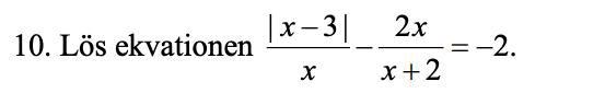
Ekvation: Hitta "fall"

Hej,
Jag har en fråga om den här uppgiften.
Jag förstår hur man beräknar x-värdena genom att förkorta och sedan använda pq-formal. x1= 1,37 och x2= -4,37
I lösningsförslag står det
"Först konstateras att x ≠ 0 och x ≠ −2 . Det finns två fall x ≥ 3 och x < 3."
"x ≠ 0 och x ≠ −2" vet jag för om x är 0 eller -2 så är nämnaren noll. Något som inte skall ske.
Men min fråga är: hur hittar du de två fall? finns det någon regel om det?
Tack så mycket.
De två fallen kommer från absolutbeloppsuttrycket. När det gäller absolutbelopp delas de upp enligt när uttrycket inuti absolutbeloppet är positivt respektive negativt. För uttrycket innebär detta att de två fallen blir och . :)
Det är absolutbeloppet som ger två fall.
Jag tycker det är enklare att förstå om man ser det grafiskt. Rita linjen y=x-3 . Den linjen skär x-axeln för x=3. Till höger om den punkten är y>0, men till vänster om den är linjen negativ, vilket inte tillåts av beloppstecknet. Men just denna del av linjen ska vara >0 och det blir den om man speglar den i x-axeln och då får den utseendet y=-x+3. Och det värdet sätter du in för x<3 i ekvationen, medan y=x+3 gäller för x>3
Smutstvätt skrev:De två fallen kommer från absolutbeloppsuttrycket. När det gäller absolutbelopp delas de upp enligt när uttrycket inuti absolutbeloppet är positivt respektive negativt. För uttrycket innebär detta att de två fallen blir och . :)
Aha, okej, låter rimligt. Man följer x ≥ a och x<a
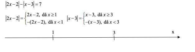
Men om det absoluta uttrycket inte var x-3 utan t.ex. det här (bild)
Hur gör man det då?
Blir det 2 x 2 fall då? 
Nästan! Det finns fall att ta hänsyn till, men flera intervall överlappar. Om är också större än ett. Om är x också mindre än tre. Detta ger oss tre intervall, , och . :)