2
svar
75
visningar
Mariam1999 behöver inte mer hjälp
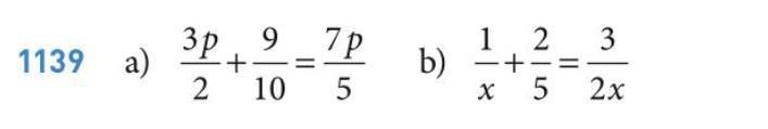
Ekvation med bråk

a) eller hur borde man förlänga allt till 10?
jag gör så:
Svaret är -9 vilket är fel
Edit: p=-90 (gjorde fel där uppe)
Felet du gjort är att du multiplicerat 9/10 med 10. Du har ju redan en minsta gemensam nämnare på 10, alltså behöver du inte göra något alls med den. Du får helt enkelt att , eller helt enkelt .
woozah skrev :Felet du gjort är att du multiplicerat 9/10 med 10. Du har ju redan en minsta gemensam nämnare på 10, alltså behöver du inte göra något alls med den. Du får helt enkelt att , eller helt enkelt .
När man är vilse och det som är klurigt blir så lätt :)