4 svar
4240 visningar
mosalah behöver inte mer hjälp
mosalah 25 – Fd. Medlem
Postad: 14 jun 2018 20:36

Elastisk stöt (rörelseenergi)

Hej skulle behöva lite hjälp med B delen i denna fråga.

 

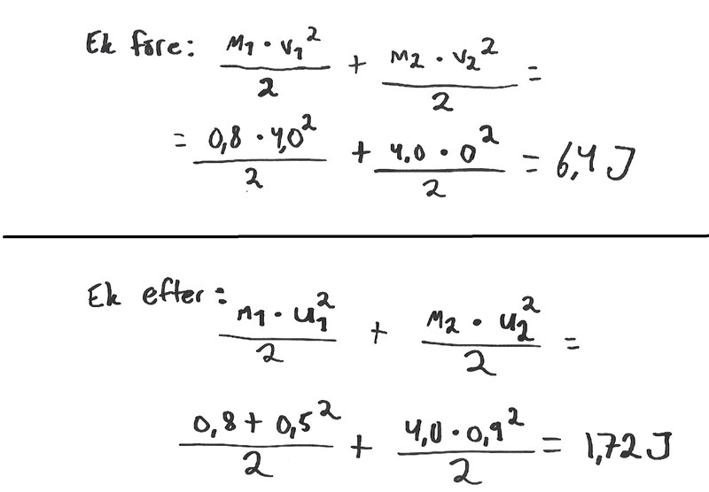
En vagn med massan m1= 0,8 kg och hastigheten v1= 4,0 m/s kolliderar med en annan stillastående vagn med massan m2= 4,0 kg. Direkt efter kollisionen studsar vagn 1 tillbaka med hastigheten u1= 0,5 m/s.

a)Beräkna hastigheten hos vagn 2 direkt efter kollisionen

b)Hur stor andel av vagn 1 rörelseenergi omvandlas till andra energiformer under kollisionen

 

Har räknat ut att a) är 0,9 m/s. 

Så mina värden blir:

m1= 0,8kg

v1 = 4,0 m/s

u1= -0,5 m/s

 

m2= 4,0 kg

v2 = 0 m/s

u2 = 0,9 m/s

 

Sedan tänker jag att vid en elastisk kollision så bevaras både rörelsemängden och rörelse energin.

Alltså P före = P efter och Ek före = Ek efter

men när jag räknar ut det får jag: 

Före:

Rörelsemängd: 3,2kgm/s

Rörelseenergi: 6,4 J

 

Efter:

Rörelsemängd: 3,2kgm/s

Rörelseenergi: 1,72 J

 

Uträkning för rörelseenergin:

 

Och härifrån sitter jag fast.. För Ek före stämmer inte med Ek efter nu. Vet inte om jag är jag helt ute och cyklar, kanske inte ens är såhär man ska tänka? 

 

Är tacksam för alla svar och all hjälp jag kan få iallafall! 

 

mvh

Smaragdalena 78892 – Avstängd
Postad: 14 jun 2018 20:44 Redigerad: 14 jun 2018 20:45

Det står i uppgiften att du skall beräkna hur stor andel av rörelseenergin hos vagn 1 som omvandlas till andra energiformer. Det betyder att kollisionen inte är elastisk, för då skulle rörelseenergin vara konstant.

mosalah 25 – Fd. Medlem
Postad: 14 jun 2018 20:55 Redigerad: 14 jun 2018 20:58
Smaragdalena skrev:

Det står i uppgiften att du skall beräkna hur stor andel av rörelseenergin hos vagn 1 som omvandlas till andra energiformer. Det betyder att kollisionen inte är elastisk, för då skulle rörelseenergin vara konstant.

 Okej, betyder det att jag kan ta Ek före - Ek efter? Alltså 6,4 - 1,72 = 4,68 J

 

Och sedan för att få ut andelen:

(6,4-1,72) / 6,4= 0,73 = 73 %

Smaragdalena 78892 – Avstängd
Postad: 14 jun 2018 21:00

Ja, men det du skall beräkna är andelen som blir andra energiformer, d v s 4,68/6,4 = 0,73125 alltså ungefär 73 %.

mosalah 25 – Fd. Medlem
Postad: 14 jun 2018 21:05
Smaragdalena skrev:

Ja, men det du skall beräkna är andelen som blir andra energiformer, d v s 4,68/6,4 = 0,73125 alltså ungefär 73 %.

 Tack!!

Svara
Close