Elektricitet: Bestäm effektutvecklingen...

Hej! Jag har fastnat på denna fråga för jag får inte ihop hur parallellkopplingen blir.
Jag tänker använda mig av P=U2/R men som sagt kan jag inte få fram det rätta R.
Så visa hur du försökt få fram R då.
65 ohm är parallellkopplat med 88 ohm. Beräkna ersättningsresistansen för dessa. Ersättningsresistansen ligger i serie med 75 ohm. Är du med?
...
Eftersom resistorerna är kopplade i både serie och parallellkoppling så måste jag använda mig av båda formlerna:

Detta blir helt fel eftersom Rers blir alldeles för lågt.
Affe Jkpg skrev:…
Affe Jkpg skrev:Affe Jkpg skrev:…
Förstår inte riktigt din formel... Jag har tidigare använt mig av Rers= 1/(1/R1 + 1/R2)
Förstår inte riktigt din formel... Jag har tidigare använt mig av Rers= 1/(1/R1 + 1/R2)
Affe Jkpg skrev:Förstår inte riktigt din formel... Jag har tidigare använt mig av Rers= 1/(1/R1 + 1/R2)
Tack! Det hjälpte! Fick fram svaret för hela kretsen! Men hur gör jag för att få fram effekten över 88Ω?
Tack! Det hjälpte! Fick fram svaret för hela kretsen! Men hur gör jag för att få fram effekten över 88Ω?
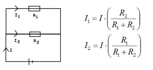
Tillämpa t.ex. strömdelning:

Så jag tar Rtotal med U för att få I och sedan hur mycket I det går till 88Ω resistorn?
Så jag tar Rtotal med U för att få I och sedan hur mycket I det går till 88Ω resistorn?
Vilken ström går det genom 75-ohms-motståndet?
Affe Jkpg skrev:Så jag tar Rtotal med U för att få I och sedan hur mycket I det går till 88Ω resistorn?
Vilken ström går det genom 75-ohms-motståndet?
U=R*I => I=U/R= 9/75 = 0.12 A
Ska jag sedan dela upp det på 88 och 65 resistorerna? För jag har glömt av hur man gör det...
U=R*I => I=U/R= 9/75 = 0.12 A
Nu tycker jag att du slarvar!
Spänningen över 75-ohms-motståndet är inte 9V!
Affe Jkpg skrev:U=R*I => I=U/R= 9/75 = 0.12 A
Nu tycker jag att du slarvar!
Spänningen över 75-ohms-motståndet är inte 9V!
Varför inte?
9 V ligger över 75 ohm i serie med ersättningsresistansen för 88 ohm och 65 ohm.