Få ut något ur en "roten ur"
Hej
Jag har stött på en uppgift där jag ska ta ut ett G från en roten ur. Fast jag vet inte hur jag ska få ut den ur "roten ur".
Uppgiften:
"Vilken enhet har konstanten G i formeln , där T har enhet i s (sekunder), r har enhet i m (meter) och massa m i (kg). (Tips. Lös ut G ur formeln, ersätt enheter med storheter och förenkla)."
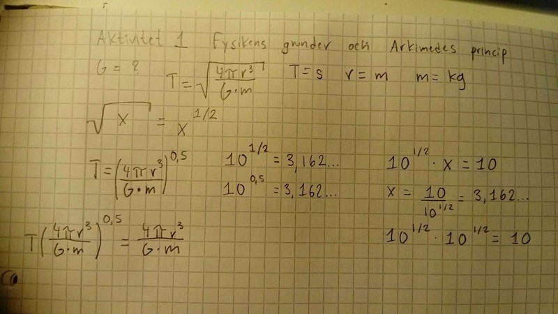
Mitt försök:
Kan ni hjälpa mig med att få ut G ur roten ur grejjen?
Nu är jag ingen expert på just fysik, men om du vill lösa ut G kan det hjälpa att tänka att kan skrivas som . Testa sen om du kan hitta någon potensregel du kan använda
Man kan kvadrera allting först så är man av med rottecknet.
Verkar vara en bra grej att kunna Toffelfabriken. Tack.
Fortsättningen:
Verkar vara som en rubiks kub (uppgiften), svår att lösa. Hur ska jag få bort upphöjt till 0,5/(1/2) t.ex.?
Börja med att kvadrera båda sidor, så har du blivit av med rot-tecknet. I nästa steg skulle jag multiplicera båda sidor med Gm, så att jag blir av med nämnaren. Vad behäver du göra mer för att få G ensamt?
Fast om man har gjort Matematik 2 nivå tidigare, så är det typ enkla tal som allt är upphöjt till (Exempel: https://www.matteboken.se/lektioner/matte-2/algebra/kvadreringsreglerna). När det kommer till 0,5 så blir det svårt. Hur gör man?
En bra regel när man räknar med potenser är att . Om du t.ex. har och kvadrerar båda sidorna så får du att , vilket förenklas till och till slut . Detta funkar mer generellt för potenser, men har man bara ett rottecken man vill ta bort så kan man göra precis som Laguna säger och bara kvadrera.
Okej, fast jag hittade den här tråden: https://gamla.pluggakuten.se/forumserver/viewtopic.php?id=10873.
Sådär, har kommit längre fast fattar inte fortfarande varför det står s/m istället för m/s?
Du har tydligen kommit fram till att , men vad är det du har gjort sedan? Enligt uppgiften borde du ha satt in rätt enhet för radien, massan och tiden för att få fram vilken enhet G skall ha. Det kan jag inte se att du har gjort. Vilka är SI-enheterna för längd, massa respektive tid?
Smaragdalena skrev:Du har tydligen kommit fram till att , men vad är det du har gjort sedan? Enligt uppgiften borde du ha satt in rätt enhet för radien, massan och tiden för att få fram vilken enhet G skall ha. Det kan jag inte se att du har gjort. Vilka är SI-enheterna för längd, massa respektive tid?
Nej, jag kom fram till att G = . SI-enheten för längd är meter (m), massa är (kg) och tid är sekunder (s). Försökt nu med dessa igen (missade kg för massa sist). Fast verkar inte ha kommit fram till ett svar. Vad har jag missat?
Försök 2:
På sista stället där det står G= är du nästan framme. Det är bara att ta bort , för de har ingen enhet.
Laguna skrev:På sista stället där det står G= är du nästan framme. Det är bara att ta bort , för de har ingen enhet.
Okej. Fast jag får då. Det har inget med att g är m/s att göra väl? För det vet jag sedan innan, att g är m/s. Fast dom kanske menar något annat G nu när jag tänkt efter.
Det är två helt olika saker. Man måste hålla isär lilla g och stora G. (g är förresten .)
Oj, jag hade tappat bort r3, ursäkta!
Du har att . Vi sätter in SI-enheterna: (4 och är rena tal och har ingen enhet): G har enheten . Möjligen kan man använda sig av att 1 N = 1 kg.m/s2 för att förenkla ytterligare.
Jaha, så då kanske svaret är (vad stora G nu kan tänkas vara)?
Juste, lilla g är . Det glömde jag visst.
Hej Manoel,
Skapa en dimensionslös storhet ur den givna formeln. Till exempel ska det gälla att
För att detta ska vara möjligt måste enheterna på vänster sida ”ta ut varandra”.
Variabeln t har enheten T (tid), variabeln m har enheten M (massa) och variabeln r har enheten L (längd). Detta ger dimensionsanalysen
Albiki skrev:Hej Manoel,
Skapa en dimensionslös storhet ur den givna formeln. Till exempel ska det gälla att
För att detta ska vara möjligt måste enheterna på vänster sida ”ta ut varandra”.
Variabeln t har enheten T (tid), variabeln m har enheten M (massa) och variabeln r har enheten L (längd). Detta ger dimensionsanalysen
Ok, fast dimensionsanalysen vore enklare att fatta för mig om man använde ett delat med tecken () istället för det där upphöjt till 0,5 och -1,5.
Även här har använder man upphöjt till svåra tal: https://sv.wikipedia.org/wiki/Gravitationskonstanten istället för att använda delat med tecken. Vad blir "6,67408(31)·10^(−11) m^3 kg^(-1)s^(-2)" om man använder ett delat med tecken?
Hej Manoel,
Får du någon hjälp av den här tråden? ---> https://www.pluggakuten.se/trad/fysik-starthjalp/
Ok, fast dimensionsanalysen vore enklare att fatta för mig om man använde ett delat med tecken (.) istället för det där upphöjt till 0,5 och -1,5.
Den där pricken i mitten betyder multiplikation, inte division. Man kan använda snedstreck / för att beteckna division.
Manoel skrev:Jaha, så då kanske svaret är (vad stora G nu kan tänkas vara)?
Juste, lilla g är . Det glömde jag visst.
Stora G är gravitationskonstanten som ingår i formeln för gravitationskraften mellan två föremål (proportionell mot deras massor och omvänt proportionell mot deras avstånd i kvadrat). Den gäller överallt och alltid. Jag vet inte om Isaac Newton kallade den för G, men det var han som kom på det där.
Den är inte helt lätt att mäta direkt, men jag tror man kan göra det med väldigt känslig utrustning. Om man vet både g och G och jordens storlek kan man räkna ut jordens massa.
Jroth skrev:Hej Manoel,
Får du någon hjälp av den här tråden? ---> https://www.pluggakuten.se/trad/fysik-starthjalp/
Ja, faktiskt. Ser nu att man kan bli av med en division genom att göra upphöjt till negativa tal t.ex. ().
Smaragdalena: Det var faktiskt ett delat-med streck som fick en dålig bredd av någon anledning (sådant som har tal ovanför och under t.ex.).
Laguna: Ok. :)