6
svar
219
visningar
Faktorisera så långt som möjligt!
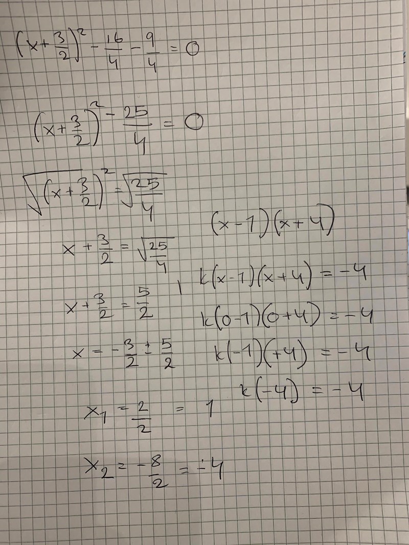
Hur fick dom till 16/4 när det var 4/1? 
Man förlänger bråket:
.
4/1 är lika mycket som 16/4. Båda bråken är lika med 4.
Anledningen till att de vill skriva det som 16/4 är för att det då har samma nämnare som 9/4 så det blir enklare att dra ifrån/lägga ihop bråken.
jag förstår inte vad dom gör på näst sista steget ser bar stökigt ut ?? jag fick till det till vet inte hur jag ska fortsätta
Jag har räknat såhär hoppas att det är godkänt endå? 
Med en snabb överblick tycker jag att det ser bra ut