3
svar
89
visningar
RisPris behöver inte mer hjälp
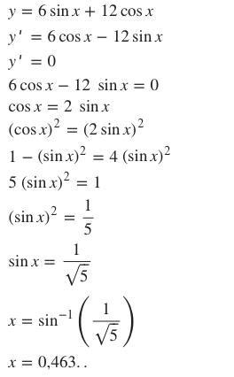
Får man göra så här?

Det jag inte är så säker på är ifall man får höja upp till 2, bildas det inte dubbelrötter då och vad händer med de?
Ja, du kan göra så här.
Kvadreringen är inga problem men vid rotutdragningen har du inte tagit med -tecknet, dvs
Och hur hanterar du det alternativet?
Enklare tycker jag det är att gå över till tan x, dvs
osv
Henning skrev:Ja, du kan göra så här.
Kvadreringen är inga problem men vid rotutdragningen har du inte tagit med -tecknet, dvs
Och hur hanterar du det alternativet?Enklare tycker jag det är att gå över till tan x, dvs
osv
exakt borde inte denna metod ge upphov till falska rötter?
Jo - om du undersöker minus-varianten och funktionens max och min så ser du att du här får en 'falsk' rot