Fel i facit? Om enhetscirkeln.
Hej!
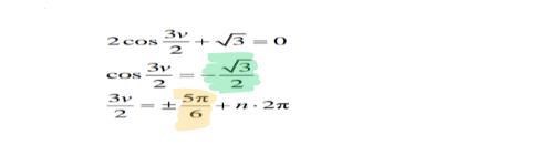
Jag skulle lösa en ekvation som började på det sättet som den översta raden visar :

Men varför lyder inte fortsättningen istället 7π/6 med tanke på enhetscirkeln? Varför skriver dem att talet har blivit omgjort till 5π/6?

Tack på förhand!
Mvh
Kan det vara samma sak?
cos(7pi/6) och cos(-5pi/6)
Nej, men du har också rätt. Värdet på cosnius förekommer på två ställen i enhetscirkeln. Detta ser du om du inte skär av hela bilden

Det går bra att välja vilken av de här som helst i och med att du lägger till framför och sedan
Detta anger att alla lösningar utgörs av både den positiva och den negativa varianten och sedan lägga på en period.
Om man tar
(vi låter n=1)
så blir det
(Du kan alltid testa att göra om till samma nämnare för att lägga på 2 pi)
Om man istället valt svaret som du tänkte
Så ditt alternativ finns redan med i facits lösningar och facits ösning finns med i ditt alternativ.
Detta är för att
Se bild nedan:

Att gå 150 grader medurs(positiv) blir samma sak som att gå 210 grader moturs(negativ). Vi hamnar på samma röda punkt och det är att betrakta som samma vinkel. På omvänt sätt är också "samma" vinkel i enhetscirkeln.
Så länge man kommer ihåg att sättaframför så går det att välja vilken av dem som helst för att få med alla lösningarna.
En annan variant är att ta med båda lösningarna om man inte vill sätta framför men det blir lite mer omständigt.
Dessa tre varianter täcker alltså in samma lösningar:
Detta för att cosinus motsvarar längden av närliggande kateten i enhetscirkeln.
Tusen tack Jonto! Vilket jobb att skriva allt det där, wow! Tack till alla
CooltMedKemi skrev:Tusen tack Jonto! Vilket jobb att skriva allt det där, wow! Tack till alla
Ingen orsak :) Anledningen till att det blev så utförlig var för att jag själv när jag skrev svaret förstod precis hur allt hänger ihop och varför, vilket jag inte riktigt funderat på tidigare. Nu vet jag precis hur jag ska förklara det om någon av mina framtida elever har samma problem :)
Väldigt bra förklaring Jonto, men positiva vinklar brukar räknas moturs och negativa medurs. Angående bilden nedan.

tomast80 skrev:Väldigt bra förklaring Jonto, men positiva vinklar brukar räknas moturs och negativa medurs. Angående bilden nedan.
Tack!. Aha tack för info, känns mer logiskt att det skulle vara tvärtom då man oftast tänker utifrån klockans håll.
@Jonto: en intressant tråd gällande detta här: https://math.stackexchange.com/questions/1749279/why-are-the-trig-functions-defined-by-the-counterclockwise-path-of-a-circle