4 svar
201 visningar
haaz behöver inte mer hjälp
haaz 64
Postad: 30 mar 2022 21:40

Förenkla

Hej! 
Här ska jag förenkla så långt som det går. 

 a^3b^2cab^2c^3 

Min lösning
 =  abc (a^2b)abc (bc^2)a^2c^2
Stämmer detta?


Helgegustav 113 – Fd. Medlem
Postad: 30 mar 2022 21:48

Japp det stämmer.

Sten 1213 – Livehjälpare
Postad: 30 mar 2022 21:52

Det ser rätt ut!

Man kan lösa det som du gjort. Man kan också titta på a, b och c var för sig.

För a finns a3 i täljaren och a i nämnaren. Då kan man förkorta så att det blir a2 kvar i täljaren.

För b är det b2 både i täljaren och nämnaren, tar ut varandra.

För c är det c i täljaren och c3 i nämnaren. Då kan man förkorta så att det blir c2 kvar i nämnaren.

haaz 64
Postad: 30 mar 2022 22:04

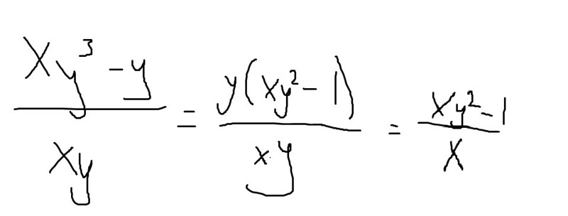
Dessa då ? 

xy3-y /xy = y2 -y


p2 - q / p+q = p-q

Jonto 9330 – F.d. Moderator
Postad: 30 mar 2022 23:32 Redigerad: 30 mar 2022 23:37

Första: I sista steget borde du hamna på (om du faktoriserat och förkortat bort x)

y3-yy

där måste du tänka på att båda termerna i täljaren ska divideras med y. 

 

Den andra förenklingen ser korrekt ut


Har du fler frågor om förenklingar, lägg dem i så fall i en ny tråd och kalla den ex. "Förenkla 2" /Jonto, moderator


Tillägg: 30 mar 2022 23:34

På första uppgiften har jag tänkt fel. X-går ej att förkorta bort. Får tänka om


Tillägg: 30 mar 2022 23:36

På den första kommer jag inte längre än då här då, förutsatt att jag tolkat uppgiften från dig rätt. Du har ju inte markerat med några parenteser.

Svara
Close