Förenkla division rationella tal
Jag kommer såhär långt sen verkar allting köra ihop sig. Vad bör jag göra efter steg 2?
har jag missat något?
Kommer hit sen:

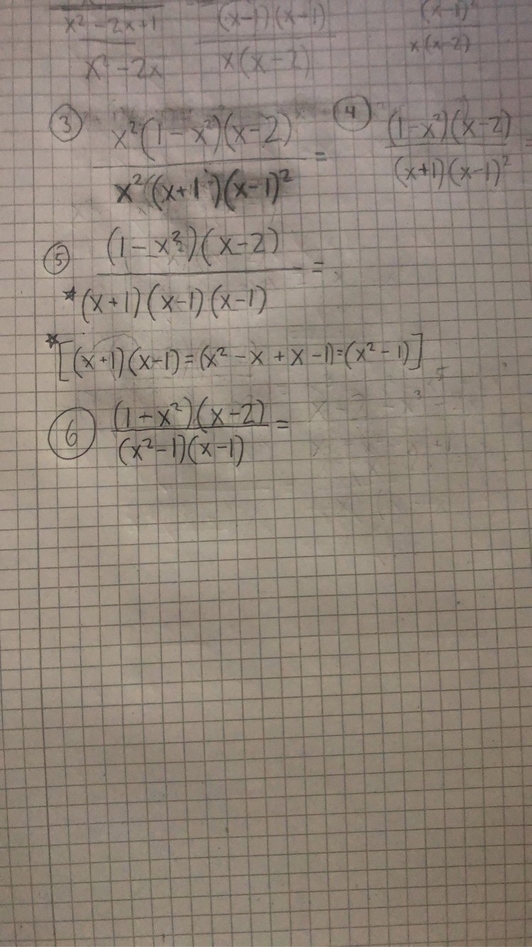
Vad jag såg så såg steg 4 helt rätt ut. Däremot på steg 5 hänger jag inte med på vad du gör och det ser inte rätt ut
Efter det så kan ett bra knep vara att man faktiskt kan bryta ut ett minustecken ur en parentes
ex.
Jonto skrev:Vad jag såg så såg steg 4 helt rätt ut. Däremot på steg 5 hänger jag inte med på vad du gör och det ser inte rätt ut
Efter det så kan ett bra knep vara att man faktiskt kan bryta ut ett minustecken ur en parentes
ex.
Kan det hjälpa vidare för då kan du kanske faktorisera den ytterligare sen
Uppdaterade bilden precis, ska kila på det du skrev och kolla om jag kommer längre
Jag förstår inte vad du gör mellan steg 4 och 5. Hur försvinner den upphöjda tvåan i parentesen i täljaren?
Jonto skrev:Jag förstår inte vad du gör mellan steg 4 och 5. Hur försvinner den upphöjda tvåan i parentesen i täljaren?
Jag såg den precis efter jag tog bilden, har skrivit dit den nu.
Från steg 4 till 5 så använde jag Konjugatregeln på nämnaren: (x+1)(x-1)2 = (x2-12)2
Så fungerar ju dock inte konjugatregeln
Konjugatregeln ger att du kan multiplicera ihoptill
Alltså får du använda en av de (x-1) i till det. Den andre kommer dock finnas kvar alltså
Så det du då ska ha i nämnaren är
Då går det bra
Så skriv om det och sen kan du titta på tipset i mitt förslag inlägg igen, för det kommer du att behöva
Hur ska jag gå vidare efter detta? 
Du ska titta på mitt tips i mitt första inlägg skrivet kl. 23.21 där jag förklarar hur man kan bryta ut ett minustecken.
Kommer du vidare då?