Förenkla och beräkna.
Sitter nu med uppgifter igen. Och innan jag får kontakt med skola för extra hjälp behöver jag eran hjälp istället.
Jag ska förenkla uttrycket och redovisa min beräkning.
Men hur gör jag.
Hitta inte hur man gjorde strecket under allting för att få delat med.
Någon som kan förklara.
Inte helt säker på uppgiften ser ut. Kan du ta en bild och lägga upp?
Ser du att de två parenteserna under stora rottecknet är väldigt lika varandra?
Fundera på om kan någon standardregel för att multiplicera parenteser med varandra ...
Om jag bara tänker snabbt då så blir det
(9+8) och (9-8) och det är 0.
Men får inte ihop det alls då.
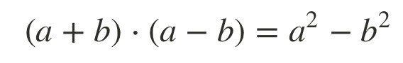
Nej, det är roten ur 8. Multiplicerar du två parenteser generellt så blir det:
Men när det är samma termer med olika tecken kan du använda konjugatregelen. Läs här: https://www.matteboken.se/lektioner/matte-2/algebra/konjugatregeln

Om du använder konjugatregeln så motsvaras a av 9 och b av . Hur blir det då?
Har redan kollat den sidan och gjorde mig inte klokare. Bara mer förvirrad om jag ska va ärlig. Tycker det är så rörigt med alla bokstäver och paranteser m.m.
Konjugatregeln:
I uppgiften har du parenteserna:
Ser du att det är samma mönster? Du får då:
"Roten ur" och "kvadrat" tar ut varandra eftersom de är motsatser. Är du med på det? Säg till annars!
Vi ser att detta handlar om en inlämningsuppgift och påminner om att hjälp med inlämningsuppgifter endast är okej om läraren godkänt detta. Tänk därför på att kolla med din lärare att det är okej att be om hjälp . Se även PM/ Jonto, moderator.
