4
svar
104
visningar
XLeNT behöver inte mer hjälp
Förenkla potensuttryck
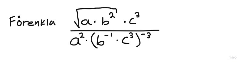
Uppgift från grundkurs i matematik: (se bifogad bild)
Jag har lyckats lösa "enklare" uppgifter på kapitlet men kört fast innan jag ens kommit igång med denna. Tips? Tänker att jag kanske behöver höja upp täljaren med ^2 för att få bort rottecknet.
Fortsätt använda potenslagarna.
Louis skrev:Fortsätt använda potenslagarna.
Juste, hade glömt att man kunde skriva om det med "^0,5". Tack ska du ha.
Såhär fick en kompis till mig att göra, ser det rimligt ut?.jpg?width=800&upscale=false)
Låt de negativa exponenterna stå kvar.
Potenslagarna funkar med dem med.
T ex (b-1*c3)-3 = b3c-9