4 svar
114 visningar
tildissen behöver inte mer hjälp
tildissen 4 – Fd. Medlem
Postad: 28 maj 2021 11:12

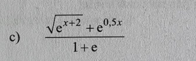
Förenkla uttryck

Hej, jag behöver hjälp att förenkla följande uttryck:

jag har börjat skriva om vänsterled i täljaren till e^1/2 + 0,5 men sen så vet jag inte hur jag ska fortsätta :( 

 

tacksam för svar <3

Jonto 9330 – F.d. Moderator
Postad: 28 maj 2021 11:36

Bra tänkt att roten ur är samma sak som att upphöja till 1/2. 

Det du får är ju då dock en potens som är upphöjt till något så den kommer se ut så här

 

(ex+2)12+e0,5x1+e

Sen får du då först med hjälp av potensregler, lösa upphöjningen. Sedan kan du fdörenkla täljaren

tildissen 4 – Fd. Medlem
Postad: 31 maj 2021 12:51

ja då får jag:

e^(0,5x+1) + e^(0,5x) / 1+e

sen vet jag inte hur jag ska göra för att förenkla, vet att jag ska bryta ut något för att förkorta men inte vad/hur

Smaragdalena 78892 – Avstängd
Postad: 31 maj 2021 12:58
tildissen skrev:

ja då får jag:

e^(0,5x+1) + e^(0,5x) / 1+e

sen vet jag inte hur jag ska göra för att förenkla, vet att jag ska bryta ut något för att förkorta men inte vad/hur

Nej, det stämmer inte, du kan inte dra roten ur de båda termerna i roten var för sig. Använd istället att a(b+c) = ab.ac.

tildissen 4 – Fd. Medlem
Postad: 31 maj 2021 15:52

Har löst uppgiften, tack för hjälpen 

Svara
Close