Förenkling av taylorpolynom
Hej!

Hur går steget mellan andra och tredje ledet till där han samlar ihop alla x3 och x5? Och vad är metoden för att exempelvis utveckla endast ett par termer i paenteserna ^3 och ^5? Min föreläsare gjorde på ett väldigt smart och enkelt sätt jag tyvärr inte minns.
Jag vet inte om det finns ngt smart sätt, man 'ser' att vissa potenser blir 'för stora' för att spela in på resultatet och bortser från dessa.
I andra steget anv. han binomialsatsen för relevanta termer, men det är mest huvudräkning och inget 'lätt trick'.
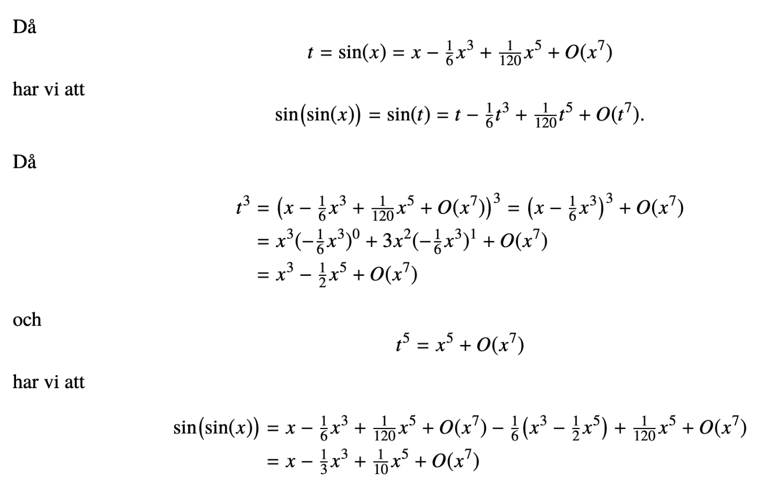
Så här skrev jag i en tidigare post ang. denna uppgift

Okej, stort tack. Vad är din minnesteknik för maclaurinserier? Kommer du ihåg det generella uttrycket för varje serie eller härleder du?
MrPotatohead skrev:Okej, stort tack. Vad är din minnesteknik för maclaurinserier? Kommer du ihåg det generella uttrycket för varje serie eller härleder du?
När jag var på min 'peak' kunde jag dessa (och mycket annat) utantill. Idag får jag slå upp vissa av dem. Mitt RAM fylls med så mycket nytt att gammal information som inte används så ofta ramlar bort… tyvärr.
Ja, men det blev bara att du lärde dig det automatiskt efter att ha använt det massor? Inser ju själv att det krävs inte många frågor för att de ska råka fastna.
MrPotatohead skrev:Ja, men det blev bara att du lärde dig det automatiskt efter att ha använt det massor? Inser ju själv att det krävs inte många frågor för att de ska råka fastna.
Många av de lite enklare utvecklingarna kan man också härleda fram om man glömmer dem.
Om man vet att
så kan man använda eulers formel för att derivera fram serierna för och
Samlar man ihop imaginär och realdelarna får man respektive serie.
Serien för och kan man få fram genom att integrera en geometrisk talserie term för term.
Om man har glömt exakt hur serieutvecklingarna ser ut tycker jag att sådana här härledningar kan vara bra att tänka på!
MrPotatohead skrev:Ja, men det blev bara att du lärde dig det automatiskt efter att ha använt det massor? Inser ju själv att det krävs inte många frågor för att de ska råka fastna.
Ja, man lär sig dem efter ett par uppgifter. Där är väl ca. 10-12 "bas-format" som ofta återkommer. Jag tror Månsson sammanfattar alla på sida i boken.
MrPotatohead skrev:Okej, stort tack. Vad är din minnesteknik för maclaurinserier? Kommer du ihåg det generella uttrycket för varje serie eller härleder du?
Min minneskrok för just och är att "kosinus får de jämna exponenterna och sinus får de udda".
naytte skrev:MrPotatohead skrev:Okej, stort tack. Vad är din minnesteknik för maclaurinserier? Kommer du ihåg det generella uttrycket för varje serie eller härleder du?
Min minneskrok för just och är att "kosinus får de jämna exponenterna och sinus får de udda".
Det är en bra minnesregel. Det är också logiskt eftersom är udda och är jämn.
Generellt gäller det att om en jämn funktion har en serieutveckling så att:
kommer alla (alltså alla udda koefficienter i serien) vara lika med 0. Motsvarande regel finns för udda funktioner.
Det är en mycket logisk regel men det kan även förenkla lite arbete om man härleder fram en serieutveckling eftersom man vet att alla dessa koefficienter blir 0 till slut.
Det är en intressant iakttagelse! Jag hade inte ens tänkt på det innan.
Vad häftigt att min minneskrok sammanföll med något mer konkret!