Förklaring av Clairauts Sats (Bevis)
Hej! Hade någon kunna förklara vad de menar med medelvärdessatsen, vad den gör och när den kan användas för jag förstår inte efter de säger "Vi kan nu tillämpa medelvärdessatsen..."
Kan någon också förklara varför kontinuitet är så viktig, den nämns så ofta. Vad kan kontinuitet medföra för jag fått höra att kontinuitet inte direkt behöver medföra deriverbar (sådana Weierstrass funktioner, men motsatsen gäller).
Sats: Om funktionen f från R^2 till R^1 är C^1 i en omgivning till (a,b), så är f''xy=f''yx

Om en funktion f är kontinuerlig på intervallet [a, b] och deriverbar på intervallet (a, b) så gäller det att f(b) - f(a) = f’(c)(b - a) för något värde c sådant att a < c < b.
Kontinuitet är viktigt för många satser som du ofta använder. Exempelvis gäller medelvärdessatsen, som du nämnde för kontinuerliga funktioner. I detta bevis använder dem att , vilket stämmer om är kontinuerlig i och inte nödvändigtvis om ej är kontinuerlig.
EDIT: Rätta allt jag säger eller om något låter konstigt eller fel är kontroversiellt
Ahh jag hittade en dunder bild (imo):

Så här är sekantens (linjen som skär punkterna) lutning:
, detta är sekantens lutning (d.v.s derivata)
Så kolla det medelvärdesatsen säger är att om en funktion är:
-kontinuerlig, så kan vi inte hoppa över punkten c.
samt
-deriverbar (inga vassa hörn, för vid ett hörn så är det inte deriverbart kanske)
så medför det
Att någonstans på grafen f(x) finns det en punkt (c som är större än a men mindre än b) där lutningen vid den punkten sammanfaller med sekantens lutning, d.v.s
f'(c)= ty ovanstående kriterier.
Vilket är precis det du sade fast mer "dumifierat" lol! Tycker fortfarande att det är konstigt att funktion måste vara deriverbar på det öppna intervallet och inte det stängda. Hursomhelst! Hur gäller det i detta fallet? Jo när vi tillämpar medelvärdessatsen på F och G så innebär det att vid en punkt för F, som de kallade så kommer det att vara lika med
och analogt gäller för G fast för en annan punkt för att det är en annan funktion.
Sen vad som händer är att =x och sen så deriveras högerledet i ekvationen för F(x)=f(x,b+h)-f(x,b) längre upp. Jag antar (min tolkning) att derivering m.a.p x är ty (b+h) och b är en fast punkt (eller mer lämpligt) så vi kan bara derivera m.a.p på en variabel, och det är x. Analogt gäller för G.
Sen så används medelvärdessatsen slutligen igen och då borde det finnas en annan punkt där tangentens lutning=sekantens lutning. Frågan är nu bara var detta kom ifrån, hur gjorde de detta liksom?

Aja om vi nu använder medelvärdessatsen så får vi (DETTA ÄR VAD JAG TROR)
analogt gäller för HL.
Sen så stryks h och vi låter h 0 vilket medför att vi får detta
b < <b+0 = b < ζ<b och på grund av instägningssatsen eller vad den nu hette så är ζ=b och vice versa gäller för theta, xi och eta (). Visste inte att den hette eta btw.
DÅ har Clairauts sats bevisats.
Edit: nu återstår det vad mer medelvärdessatsen kan användas till lol?
AlexMu skrev:I detta bevis använder dem att , vilket stämmer om är kontinuerlig i och inte nödvändigtvis om ej är kontinuerlig.
Menar du typ generellt sett då, så länge den bara är kontinuerlig i a så gäller det gränsvärdet?
Ja, man kan definiera kontinuitet som egenskapen att . Detta gränsvärde gäller inte för, exempelvis funktionen när .
Men kontinuitet är en egenskap som är ett krav i massivs med satser som du sett i envariabelanalysen (och säker i flervariabel också!). Exempelvis medelvärdessatsen eller extremvärdessatsen (en kontinuerlig funktion på en kompakt mängd antar ett största och minsta värde). Alla kontinuerliga funktioner är integrerbara, etc.
AlexMu skrev:
?
Sykey skrev:?
Skrev fel i mitt uttryck.
hmm, jag har inte hört varken att alla kontinuerliga funktioner är integrerbara eller extremvärdessatsen. De är nya för mig!
Edit: så den antar BÅDE minsta och största värde? Märkte också att du sa kompakt mängd.
Är kompakt mängd att den är sluten och begränsad eller är det något annat.
Jag jämför lite med min envariabelkurs. Båda satserna var med i min, men extremvärdessatsen hade inte ett namn (dock användes den). En kompakt mängd är en sluten och begränsad mängd, ja.
I envariabeln använde vi bland annat extremvärdessatsen för att bevisa medelvärdessatsen.
Detta skrev en annan kille om kompakt mängd, så han sa att det var något helt annat (på en annan tråd):
"Begreppet Kompakt är inte ett annat ord för sluten och begränsad och inte heller för att tilldela mått på areor i R2. Det kan man göra utan begreppet kompakt. Det står inte där på tavlan för att åstadkomma detta. Om jag får gissa vad som står längre fram så kan det vara att f är likformigt kontinuerlig. begränsad och antar sitt max- och minvärde på D. Det följer nämligen av kompaktheten. Det Naytte skriver är inte en definition utan en viktig sats som gäller i Rn. Det finns andra rum där den inte gäller."
Sykey skrev:Tycker fortfarande att det är konstigt att funktion måste vara deriverbar på det öppna intervallet och inte det stängda.
Också, angående detta finns funktioner som är deriverbara i det öppna intervallet men ej det slutna. Ett exempel är på intervallet . Denna funktion är kontinuerlig på intervallet och deriverbar på , men den är ej deriverbar i .
Sykey skrev:Detta skrev en annan kille om kompakt mängd, så han sa att det var något helt annat (på en annan tråd):
"Begreppet Kompakt är inte ett annat ord för sluten och begränsad och inte heller för att tilldela mått på areor i R2. Det kan man göra utan begreppet kompakt. Det står inte där på tavlan för att åstadkomma detta. Om jag får gissa vad som står längre fram så kan det vara att f är likformigt kontinuerlig. begränsad och antar sitt max- och minvärde på D. Det följer nämligen av kompaktheten. Det Naytte skriver är inte en definition utan en viktig sats som gäller i Rn. Det finns andra rum där den inte gäller."
Jag pratar just nu bara på (eftersom det var i referens till envariabelanalysen) och där är sluten och begränsad ekvivalent med den mer "vanliga" definitionen av en kompakt mängd. Det stämmer inte nödvändigtvis för andra rum.
Tillägg: 10 feb 2026 22:55
Kan dock nämna att sluten och begränsad är ekvivalent med kompakthet på (Heine-Borel theorem). Jag vet inte exakt när det inte gäller, men jag tror det blir problem för rum med oändligt många dimensioner.
AlexMu skrev:
Jag pratar just nu bara på och där är sluten och begränsad ekvivalent med den mer "vanliga" definitionen av en kompakt mängd. Det stämmer inte nödvändigtvis för andra rum.
Okej då kör vi på vad som gäller för R. Vad som gäller för andra rum har jag ingen aning vad som händer.
Okej men igen med ditt fall för x^(1/3). Bara för att det finns ett fall (det finns nog flera) så kör vi med öppna mängden. Tänk om jag hittar funktioner som är deriverbara på det stängda intervallet... så idk... fattar fortfarande inte... det känns onödigt (eller kanske mer från fall till fall?)
Om funktionerna är deriverbara på det slutna intervallet är de även deriverbara på det öppna intervallet och då gäller satsen!
Det enda jag menar är att om kravet för medelvärdessatsen var att funktionen är deriverbar på det slutna intervallet, så skulle mängden funktioner vi kan applicera satsen på att minska (då skulle vi inte kunna använda den på ). Ju svagare krav desto bättre!
AlexMu skrev:Om funktionerna är deriverbara på det slutna intervallet är de även deriverbara på det öppna intervallet och då gäller satsen!
Det enda jag menar är att om kravet för medelvärdessatsen var att funktionen är deriverbar på det slutna intervallet, så skulle mängden funktioner vi kan applicera satsen på att minska (då skulle vi inte kunna använda den på ). Ju svagare krav desto bättre!
ahh, det är sant. Ett svagare krav är bättre för då kan vi använda den till mer tillfällen. Båda dina stycken är sanna. amen coolt! Faktiskt. Btw när du sa att f(x)=1 vid x=0 och f(x)=0 annars så menar du väl att funktionen inte är kontinuerlig eftersom den direkt hoppar från 1 till 0 (om vi zoomar in liksom) och därmed är den inte kontinuerlig så är den inte deriverbar?
Edit: Är detta sant. Ej kontinuerlig --> ej deriverbar?
En till sak: tror du detta är rätt resonerat (eller att epsilon är på rätt plats och att det inte ska stå a eller a+h eller så?)

Svagare krav är bra!
Lite orelaterad kuriosa på temat med svaga krav: En av mina favoritsatser för analys i en variabel är att en funktion är (riemann) integrerbar om och endast om mängden av dess diskontinuiteter har mått noll (measure zero), vilket essentiellt betyder att mängden av alla diskontinuiteter inte tar upp någon "längd" på den reella linjen. Det som är faschinerande här är att det är en ekvivalens. Varje funktion med denna egenskap är integrerbar och varje integrerbar funktion har denna egenskap.
Detta är mycket svagare än satsen från tidigare att en kontinuerlig funktion är integrerbar. Mängden av en kontinuerlig funktions diskontinuiteter är ju den tomma mängden (som har mått noll). Med denna sats kan vi ha massvis med diskontinuiteter (oändligt många) och fortfarande veta att funktionen är integrerbar.
> Är detta sant. Ej kontinuerlig --> ej deriverbar?
Ja, det är negering av påståendet "Deriverbar kontinuerlig", vilket är sant.
Och ja jag tycker det ser rätt ut. Det vi essentiellt gör i beviset är att applicera medelvärdessatsen i båda argument av funktionen. Vi håller ena argumentet konstant för att göra om funktionen till en funktion i en variabel så att satsen kan användas. Sedan låter vi det andra argumentet vara konstant för att upprepa processen och därmed ta två derivator (vilket är vårt mål!).
Måtteori är fett!
Med mått noll avser man Lebesguemåttet, alltså ett särskilt mått. Det finns andra också.
AlexMu skrev:Svagare krav är bra!
Lite orelaterad kuriosa på temat med svaga krav: En av mina favoritsatser för analys i en variabel är att en funktion är (riemann) integrerbar om och endast om mängden av dess diskontinuiteter har mått noll (measure zero), vilket essentiellt betyder att mängden av alla diskontinuiteter inte tar upp någon "längd" på den reella linjen. Det som är faschinerande här är att det är en ekvivalens. Varje funktion med denna egenskap är integrerbar och varje integrerbar funktion har denna egenskap.
Detta är mycket svagare än satsen från tidigare att en kontinuerlig funktion är integrerbar. Mängden av en kontinuerlig funktions diskontinuiteter är ju den tomma mängden (som har mått noll).
> Är detta sant. Ej kontinuerlig --> ej deriverbar?Ja, det är negering av påståendet "Deriverbar kontinuerlig", vilket är sant.
Och ja jag tycker det ser rätt ut. Det vi essentiellt gör i beviset är att applicera medelvärdessatsen i båda argument av funktionen. Vi håller ena argumentet konstant för att göra om funktionen till en funktion i en variabel så att satsen kan användas. Sedan låter vi det andra argumentet vara konstant för att upprepa processen och därmed ta två derivator (vilket är vårt mål!).
Ahh så det gäller att hålla de konstant för att kunna använda medelvärdessatsen, annars blir det lite svårt så att säga. Jag vet inte vad en diskontinuitet är, liksom det är väl när funktionen inte är kontinuerlig men det känns konstigt. Då måste funktionen ha en massa (mängd) kontinuiteter, det känns konstigt (det är la bara punkter nära varandra?). Eller... kanske inte så konstigt... Ahh vänta jag tror jag sett detta, eller något med riemannsummor. Att integraler är gränsvärdet av riemannsummor då x går mot noll? Vet inte varför de kallas riemann.
Edit: är detta verkligen en sats dock jag trodde det var mer en per definition att integralen var dessa summor. Liksom här får du en kuriosa som du nog redan visste men integraltecknet är ett utsträckt "S" som står för summa.
Ja, en diskontinuitet är en punkt där funktionen inte är kontinuerlig. Funktionen har en diskontinuitet i och mängden diskontinuiteter blir då , eftersom den är kontinuerlig överallt annars. Jag drog in ordet riemann för att det finns andra "typer" av integraler som är definierade på annorlunda sätt. Denna sats jag nämnde är dock specikt för riemannintegralen (den "vanliga" integralen), annat gäller nog för andra typer av integraler.
AlexMu skrev:Ja, en diskontinuitet är en punkt där funktionen inte är kontinuerlig. Funktionen har en diskontinuitet i och mängden diskontinuiteter blir då , eftersom den är kontinuerlig överallt annars.
ahh det make:ar sense och mängden kontinuiteter är , eller?
Det finns andra typer av integraler? Ahh vänta, ahh jag kan några namn, dubbelintegraler (R2), trippelintegraler (R3) och multipelintegraler (Rn).
Ja precis! Funktionen
där är ett positivt heltal är diskontinuerlig för och kontinuerlig överallt annars. Här blir då mängden av diskontinuiteter
ahh, så hade man ritat ut den grafen så hade den haft massa punkter vid olika x-värden fast på samma y-värde som alltid är 1. Den hoppar alltså oändligt många gånger efter x=0?
Sykey skrev:Det finns andra typer av integraler? Ahh vänta, ahh jag kan några namn, dubbelintegraler (R2), trippelintegraler (R3) och multipelintegraler (Rn).
Jag tror det fortfarande räknas som riemannintegraler, i alla fall på det sätt som de definieras i flervariabelanalys. Jag har inte jättegod koll på andra typer av integraler, men den mest kända integralen som inte är riemann är Lebesgueintegralen.
AlexMu skrev:Sykey skrev:Det finns andra typer av integraler? Ahh vänta, ahh jag kan några namn, dubbelintegraler (R2), trippelintegraler (R3) och multipelintegraler (Rn).
Jag tror det fortfarande räknas som riemannintegraler, i alla fall på det sätt som de definieras i flervariabelanalys. Jag har inte jättegod koll på andra typer av integraler, men den mest kända integralen som inte är riemann är Lebesgueintegralen.
Åhh, gudars vad är det för flummigt namn? Lebesgueintegralen? Uschh lol
Edit: kommer börja kalla den för asbestosintegralen. Dunno why, känns bara lämpligt!
De räknas definitivt som Riemannintegraler och faktum är att de kan definieras helt analogt till Riemannintegralen! Alltså verkligen nästan identiskt.
Ahh så det finns bara Riemannintegraler. Plottwist: alla integraler är riemannintegraler
Sykey skrev:ahh, så hade man ritat ut den grafen så hade den haft massa punkter vid olika x-värden fast på samma y-värde som alltid är 1. Den hoppar alltså oändligt många gånger efter x=0?
Funktionen skulle ungefär se ut såhär (där jag inte lyckats rita ut "hålen" i linjen där funktionen hoppar till )
AlexMu skrev:Sykey skrev:ahh, så hade man ritat ut den grafen så hade den haft massa punkter vid olika x-värden fast på samma y-värde som alltid är 1. Den hoppar alltså oändligt många gånger efter x=0?
Funktionen skulle ungefär se ut såhär (där jag inte lyckats rita ut "hålen" i linjen där funktionen hoppar till )
Hur ritade du den? Jag vill också kunna rita sådana..
Ahh så det finns bara Riemannintegraler. Plottwist: alla integraler är riemannintegraler
Haha nej, då hade livet tyvärr varit lite väl enkelt...
Riemannintegrerbarhet är ett starkare krav än Lebesgueintegrerbarhet. Alla Lebesgueintegrerbara funktioner är Riemannintegrerbara (de blir samma sak) men det finns oändligt många motexempel till motsatsen.
naytte skrev:
Riemannintegrerbarhet är ett starkare krav än Lebesgueintegrerbarhet. Alla Lebesgueintegrerbara funktioner är Riemannintegrerbara (de blir samma sak) men det finns oändligt många motexempel till motsatsen.
Lol men vad är det för något, användningsområde och vad är kraven i så fall?
Sykey skrev:Hur ritade du den? Jag vill också kunna rita sådana..
Jag fuskade lite...
Jag ritade funktionen och sedan ritade jag ut 100 st punkter på formen , vilket då blir funktionsvärdena i "hopp punkterna".
AlexMu skrev:Sykey skrev:Hur ritade du den? Jag vill också kunna rita sådana..
Jag fuskade lite...
Jag ritade funktionen och sedan ritade jag ut 100 st punkter på formen , vilket då blir funktionsvärdena i "hopp punkterna".
Ah wow du använder Desmos. Ska öppna och se om jag kan få till det på samma sätt!
Edit: ahh det funkade... coolt! att man skriver for i =[1...100] också coolt. De har inte med kommatecken hehe.
Sykey skrev:Lol men vad är det för något, användningsområde och vad är kraven i så fall?
Jag är inte alls kvalificerad att prata om lebesgueintegralen. Har ej tagit en kurs i måtteori än (men jag hoppas att jag kan göra det nästa termin!). Lite sökning nu ledde mig till denna tråd som kanske har svar på din fråga.
Om jag får vara lite vågad tror jag inte att måtteori principiellt erbjuder något som man inte kan göra dessförutan (i naturvetenskaperna). Men den kan ändå ge oss viktiga och bra insikter och teorem som vi kan tillämpa.
Exempelvis är icke-standardanalys (NSA) ingen speciell teori i bemärkelsen att den erbjuder något "nytt", men den erbjuder andra perspektiv som inte är tillgängliga annars. Jag ska inte svära på det, men jag tror att det är bevisat att allt man bevisar med NSA går att bevisa utan NSA också, och trots detta finns det vissa satser som aldrig har bevisats utan...
Åå gudars va långa svar det är på den tråden men det ser ut att innehålla svaret. Får nog sätta mig ner en längre tid och läsa den... och se om jag förstår.......
De länkade också denna
https://en.wikipedia.org/wiki/Dominated_convergence_theorem
som skulle vara ett starkt bevis för denna integralen (de tar punkt för punkt?). Brusch jag vet inte vad måtteori är lol.
naytte skrev:Om jag får vara lite vågad tror jag inte att måtteori principiellt erbjuder något som man inte kan göra dessförutan (i naturvetenskaperna). Men den kan ändå ge oss viktiga och bra insikter och teorem som vi kan tillämpa.
Exempelvis är icke-standardanalys (NSA) ingen speciell teori i bemärkelsen att den erbjuder något "nytt", men den erbjuder andra perspektiv som inte är tillgängliga annars. Jag ska inte svära på det, men jag tror att det är bevisat att allt man bevisar med NSA går att bevisa utan NSA också, och trots detta finns det vissa satser som aldrig har bevisats utan...
De enda satser jag läst lite om som har med lebesgueintegralen att göra är Dominated Convergence Theorem och Fubini's Theorem (främst för att jag gillar att leka runt med integraler och då är dessa satser mycket relevanta). Själv nöjer jag mig dock med likformig konvergens när jag själv håller på, men jag antar att det är ett starkare kriterium än att använda DCT.
naytte skrev:Om jag får vara lite vågad tror jag inte att måtteori principiellt erbjuder något som man inte kan göra dessförutan (i naturvetenskaperna). Men den kan ändå ge oss viktiga och bra insikter och teorem som vi kan tillämpa.
Exempelvis är icke-standardanalys (NSA) ingen speciell teori i bemärkelsen att den erbjuder något "nytt", men den erbjuder andra perspektiv som inte är tillgängliga annars. Jag ska inte svära på det, men jag tror att det är bevisat att allt man bevisar med NSA går att bevisa utan NSA också, och trots detta finns det vissa satser som aldrig har bevisats utan...
NSA=non-standard-analys? kanske... Hmm jag vet inte vad det är (en kurs kanske) men vad eller hur ger den typ andra perspektiv och på vad lol. Ah så NSA är så bra för att kunna bevisa (används mest liksom). Hade varit coolt att veta vilka av de satser som man kan bevisa utan NSA men som inte gjorts (ty anledningar).
AlexMu skrev:
De enda satser jag läst lite om som har med lebesgueintegralen att göra är Dominated Convergence Theorem och Fubini's Theorem (främst för att jag gillar att leka runt med integraler och då är dessa satser mycket relevanta). Själv nöjer jag mig dock med likformig konvergens när jag själv håller på, men jag antar att det är ett starkare kriterium än att använda DCT.
Vad säger Dominated Convergence Theorem (DCT)
Varför är likformig konvergens viktigt för dig
Det påminner mig om likformig kontinuerlighet (jag fattar inte varför man säger likformig, jag trodde det var givet?)... kanske inte... eller så vet jag bara inte vad ordet betyder lol
Ja, non-standard analysis. Det är analys med infinitesimaler som fundamentalt objekt istället för reella tal och gränsvärden. Exempelvis kan man definiera kontinuitet enligt Cauchy istället för det äckliga sättet man gör i vanlig analys:
Sats (löst uttryckt). en funktion är kontinuerlig i en punkt om och endast för alla infinitesimaler .
betyder " är oändligt nära ".
naytte skrev:äckliga sättet man gör i vanlig analys.
haha, shots fired.
Men vad är Cauchy. Aha vänta det där är Cauchy's sats då
Infinitesimaler är det liksom oändligt många punkter som är oändligt nära varandra. Infinitesimalt är något ytterst litet vet jag.
Sykey skrev:
Vad säger Dominated Convergence Theorem (DCT)
Varför är likformig konvergens viktigt för dig
Det påminner mig om likformig kontinuerlighet (jag fattar inte varför man säger likformig, jag trodde det var givet?)... kanske inte... eller så vet jag bara inte vad ordet betyder lol
Exakt vad DCT säger vågar jag inte riktigt svara på. Du kan läsa påståendet på wikipediasidan och jag kan inte riktigt tillägga något bortsett från att upprepa påståendet.
Jag ger definitionen på "vanlig" konvergens (på ) (kallad Pointwise convergence och jag känner ej till den svenska översättningen). (Om du vill komma till poängen kan du hoppa att läsa definitionerna)
En följd funktioner definierade på en mängd sägs konvergera mot en funktion om, för varje konvergerar mot , alltså
Definitionen av likformig konvergens:
En följd av funktioner definierade på en mängd sägs konvergera likformigt mot en funktion på en mängd om, för varje så finns ett naturligt tal sådan att när och .
Skillnaden mellan dessa definitioner är lik skillnaden mellan likformig kontinuitet och vanlig kontinuitet som du nämnde. I varje gränsvärde måste man gå igenom det vanliga med gränsvärden av talföljder: Tag något och hitta ett heltal så att
när . I vanlig konvergens kan detta bero på , vilket det inte gör i likformig konvergens.
Lite löst innebär detta att likformigt konvergenta följder konvergerar "lika snabbt" överallt mot funktionen . Medan "vanlig" konvergens kan konvergera mycket snabbt på vissa delar av mängden , men mycket långsamt på andra delar.
Det som är viktigt i alla fall är att om en följd konvergerar likformigt mot en funktion på intervallet så gäller det att
Om du kollar på dominated convergence theorem ser du att denna likhet, att man får byta ordning på gränsvärdet och integralen, är exakt det satsen kommer fram till, fast med andra förutsättningar på följden (som nog är svagare) än likformig konvergens.
Cauchy var en av snubbarna som lade grunden för mycket av den moderna analysen. ALLA de tidiga pionjärerna resonerade med infinitesimaler.
ahh okej ett par saker
1. Jag måste kolla video/fråga chatgpt så jag kan förstå bättre vad som menas. Jag är inte bra på konvergens.
2. Nu det är något att man kan ändra ordningen på lim, jag har sett liknande fast för sigmatecknet . Jag vet inte om man alltid får byta ordningen om man har dubbel sigma men det påminner mig om det lol.
3. "N kan bero på x vid vanlig konvergens"? Jösses, måste läsa på och ta tid för att bearbeta detta.
4. Epsilon ska alltid vara mindre än absolutbeloppet av skillnaden dessutom... hmm... påminner mig lite om delta-epsilon beviset
Denna tråd från när jag läste en kurs i analys kanske kan vara till hjälp:
https://www.pluggakuten.se/trad/vad-ar-skillnaden-pa-punktvis-och-likformig-konvergens/
naytte skrev:Denna tråd från när jag läste en kurs i analys kanske kan vara till hjälp:
https://www.pluggakuten.se/trad/vad-ar-skillnaden-pa-punktvis-och-likformig-konvergens/
oooo, ska kolla på den nu!
Edit: Holy shi... man kan prenumera på trådar :O... vet inte vad det gör men... :O ändå
Sykey skrev:ahh okej ett par saker
1. Jag måste kolla video/fråga chatgpt så jag kan förstå bättre vad som menas. Jag är inte bra på konvergens.
2. Nu det är något att man kan ändra ordningen på lim, jag har sett liknande fast för sigmatecknet . Jag vet inte om man alltid får byta ordningen om man har dubbel sigma men det påminner mig om det lol.
3. "N kan bero på x vid vanlig konvergens"? Jösses, måste läsa på och ta tid för att bearbeta detta.
4. Epsilon ska alltid vara mindre än absolutbeloppet av skillnaden dessutom... hmm... påminner mig lite om delta-epsilon beviset
Likformig konvergens kan ta ett tag att förstå!
Det är alltid ok att byta ordning mellan en integral och en ändlig summa (förutsatt att alla integraler konvergerar). När summan är oändlig faller detta under satsen jag nämnde. Man kan då låta sin funktion vara de första termerna i summan och vara den oändliga summan, vilket blir gränsvärdet av .
Tillägg: 11 feb 2026 00:31
(förutsatt att alla integraler konvergerar)
Man skulle annars kunna ha typ
men det sista ledet är ej definierat eftersom integralerna divergerar
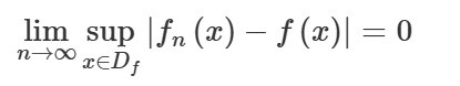
Ett annat exempel är
Vad är sup för något vid likformig konvergens?

Tillägg: 11 feb 2026 00:32
hejsan svejsan! detta är tillägg?
AlexMu skrev:
Det är alltid ok att byta ordning mellan en integral och en ändlig summa
Detta lol? Så tolkar jag det du säger i mitt huvud lol.
Också hur vet du om integraler divergerar eller konvergerar, kan du liksom se det med dina ögon (inspektion)? Men det där är en cool teknik att 0= 1/x - 1/x... för det är ju det :D
Är inte värdet av de bara 0?
Edit: kanske skapar en ny tråd för den med divergens och konvergens faktiskt
Vänta punktvis konvergent funktion
Är det en sådan funktion som ser ut att vara uppbyggda av punkt för punkt (liksom diskret eller hoppig) kanske för varje x, så har vi ett y-värde och samtidigt så går funktion mot ett tal (alltså gränsvärdet)... och vi kan ha oändligt många sådana punkter...
Detta lol? Så tolkar jag det du säger i mitt huvud lol.
Ja.
Också hur vet du om integraler divergerar eller konvergerar, kan du liksom se det med dina ögon (inspektion)? Men det där är en cool teknik att 0= 1/x - 1/x... för det är ju det :D
Är inte värdet av de bara 0?
Man blir van efter ett tag! Det finns massvis med satser för att testa om integraler divergerar, exempelvis här finns en relevant sats som säger att konvergerar om och endast om . Därmed måste integralen med divergera!
Skillnaden mellan och är rätt subtil.
Det handlar om att subtraktionen sker innan eller efter integrationen. I den första integralen blir funktionsvärdet alltid 0 och integralen konvergerar. I den andra integralen "hinner" respektive integral divergera till innan man subtraherar och därför är värdet ej definierat.
AlexMu skrev:Detta lol? Så tolkar jag det du säger i mitt huvud lol.
Ja.
Också hur vet du om integraler divergerar eller konvergerar, kan du liksom se det med dina ögon (inspektion)? Men det där är en cool teknik att 0= 1/x - 1/x... för det är ju det :D
Är inte värdet av de bara 0?
Man blir van efter ett tag! Det finns massvis med satser för att testa om integraler divergerar, exempelvis här finns en relevant sats som säger att konvergerar om och endast om . Därmed måste integralen med divergera!
Skillnaden mellan och är rätt subtil.
Det handlar om att subtraktionen sker innan eller efter integrationen. I den första integralen blir funktionsvärdet alltid 0 och integralen konvergerar. I den andra integralen "hinner" respektive integral divergera till innan man subtraherar och därför är värdet ej definierat.
Hmm...
Tre saker
1. Tänker starta en ny tråd vad det gäller konvergens och divergens
2. "Därmed måste integralen med p=1 divergera"... hmm okej... kanske behöver bevis för den lol.
3. Men på den sista. En integral är en integral. Vi tar integralen av 1/x från 1 till 0 och så får vi detta
ln(1) - ln(0) - (ln(1)-ln(0)) =0
den konvergerar ju också?
Eller vänta ln(0) = e-=0
Då får vi basically "0-0" och det är la inte ett omöjligt gränsfall? De minskar ju lika fort dessutom.
Cauchy, Riemann och Lebesgue var matematiker. Hur man uttalar de franska namnen får man lära sig genom att lyssna på någon som säger det rätt.
Eller vänta ln(0) = e-=0
Då får vi basically "0-0" och det är la inte ett omöjligt gränsfall? De minskar ju lika fort dessutom.
eftersom .
AlexMu skrev:Eller vänta ln(0) = e-=0
Då får vi basically "0-0" och det är la inte ett omöjligt gränsfall? De minskar ju lika fort dessutom.
eftersom .
Ahh, juste
Funktionen skulle ungefär se ut såhär (där jag inte lyckats rita ut "hålen" i linjen där funktionen hoppar till )