Förstår inte vad som händer i lösningen.
Hej, jag skulle behöva hjälp med att förstå vad som händer i den här uppgiften.
Här är uppgiften:

Jag satt och funderade ett tag men hade ingen aning om hur jag skulle göra så jag tittade på lösningen:

Men jag förstår inte vad de gör för något. Finns det någon vänlig själ som skulle kunna beskriva vad de gör och varför? Stort tack.
Det ligger lite gömda saker här ja. Vi tittar på vad som är givet i uppgiften:
- alltså gäller
- alltså gäller
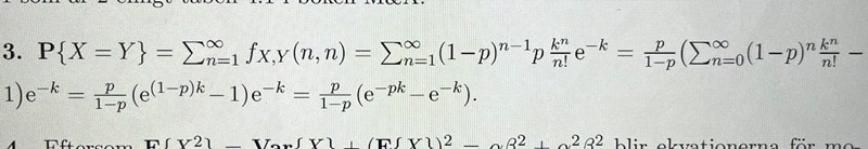
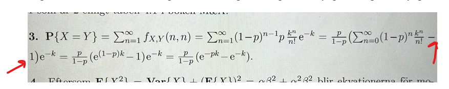
- För två oberoende slumpvariabler gäller att deras gemensamma sannolikhetsmassfunktion (den diskreta motsvarigheten till täthetsfunktion) är
Sedan minns vi att , alltså vi frågar oss vad sannolikheten är att slumpvariablerna ska anta samma värde. Det blir då helt enkelt summan av varje värde av för varje .
Då förstår jag bättre. Tack så mycket för hjälpen.
Skulle du kunna lägga upp en bild på hela facit? Jag sitter med uppgiften men lyckas inte få till summan till en sluten form 😅
Det där är hela facit.😅
Men det ser ut som att det har kapats i kanterna:

Tillägg: 17 maj 2025 18:22
Eller jaha, det fortsätter bara ned på nästa rad...
Ändå lite mystiskt hur de kom fram till den slutna formen...