Fråga kring en logaritmlag.
Hej! Får logaritmlagen där man kan flytta ner/höja upp en exponent på detta vis användas som jag har gjort nedan? Om inte, varför inte?
Har du kontrollerat om ditt svar stämmer?
Det ger dig svar på din första fråga.
Nej det stämmer inte. Så jag vill veta varför. Svaret och deras lösningsförslag förstår jag, det handla mer om att jag vill veta vad jag gör fel så att jag inte gör om det!
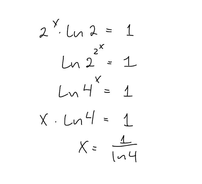
Problemet är steg 3: . Prioritet för potenser är "uppifrån och ned", men tydligast blir det såklart om man sätter dit parenteser.
För att komma ihåg detta kan man tänka på att går enkelt att uttrycka som , medan inte går att skriva om. Så det är praktiskt att det är det senare fallet som slipper parenteser.
Juste! Nu fattar jag! Jag blandade ihop det med regeln där det är en faktor som exponent och inte en potens!