Fritt fall beräkning
Hej
Jag har lite problem med att räkna ut hur lång tid ett fall tar. Frågan är:
"En mobiltelefon som väger 170 g tappas från utsiktsplattformen på 134 m, högst upp i
kaknästornet i Stockholm. Vilken hastighet har den när den landar på marken nedanför?"
Först tänkte jag 134/9,82 eftersom allt (om man bortser från luftmotstånd osv) faller i samma tempo och då fick jag 13.65 sekunder. MEN inser ju att den också accelererar men jag är så otroligt osäker på den formlen.

jag vet sträckan 134m men inte tiden
Start hastigheten är ju 0m/s och den börjar hastigheten på 9,82m/s men såklart saknar jag acceleration och därmed genomsnitts hastigheten som jag tror ska in där.
Tittar jag på:

v0=0/ms
acceleration ?
och tid ?
Hur går jag till väga?
Du kan förslagsvis använda v=(2gh)^(0.5).
Du kan härleda den med en av rörelseformlerna.
naytte skrev:Du kan förslagsvis använda v=(2gh)^(0.5).
Du kan härleda den med en av rörelseformlerna.
Vad står gh för?
naytte skrev:Du kan förslagsvis använda v=(2gh)^(0.5).
Du kan härleda den med en av rörelseformlerna.
Läste igen efter en stund och förstår mer,
v=2*9,82*h ^ 0,5
Vad står h för? Är dett fallsträckan? Menar du upphöjt med "^"? För jag läste till mig att formeln Hastigheten ökar med roten ur fallsträckan v = √(2gs).
Alltså blir det √(2*9,82*134) ? Tycker det låter mycket då det blir 51. 51m/s kanske? om man räknar manuellt med 1G ökning per sekund blir det 9,82 sekund 1, sen 19,64, sen 29,46, 39,28, sen 49,1 och redan där är vi uppe i ett fall på 147m så det totala fallet tar någon stans kring 4,67 sekunder, och då når de aldrig upp i en hastighet av 51m/s ens.
Ambalrith skrev:naytte skrev:Du kan förslagsvis använda v=(2gh)^(0.5).
Du kan härleda den med en av rörelseformlerna.
Läste igen efter en stund och förstår mer,
v=2*9,82*h ^ 0,5
Vad står h för? och misstänker att ^=upphöjt med?
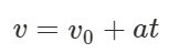
h är höjden som föremålet släpps ifrån och g är accelerationen nedåt.
Första sekunden faller något 5 m, andra 15 m, tredje 25 m, o s v (nu har jag räknat med g = 10 och utan luftmotstånd). 5+15+25+35+45 = 125, det tar alltså mer än 5 sekunder att falla 134 m. Efter 5 sekunder är hastigheten 50 m/s så 51 m/s är rimligt.
Smaragdalena skrev:Första sekunden faller något 5 m, andra 15 m, tredje 25 m, o s v (nu har jag räknat med g = 10 och utan luftmotstånd). 5+15+25+35+45 = 125, det tar alltså mer än 5 sekunder att falla 134 m. Efter 5 sekunder är hastigheten 50 m/s så 51 m/s är rimligt.
Men oavsett om g=9,82 eller 10 borde väl det falla 9,82 eller 10m/s första sekunden? inte hälften, varför blir det hälften?
Ambalrith skrev:
varför blir det hälften?
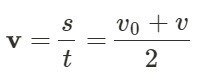
För att medelhastigheten är halva momentanhastigheten (om man börjar från stillastående vid uniform acceleration).![]()
Ambalrith skrev:Smaragdalena skrev:Första sekunden faller något 5 m, andra 15 m, tredje 25 m, o s v (nu har jag räknat med g = 10 och utan luftmotstånd). 5+15+25+35+45 = 125, det tar alltså mer än 5 sekunder att falla 134 m. Efter 5 sekunder är hastigheten 50 m/s så 51 m/s är rimligt.
Men oavsett om g=9,82 eller 10 borde väl det falla 9,82 eller 10m/s första sekunden? inte hälften, varför blir det hälften?
Om du ritar ett v-t-diagram, så kommer v(0) = 0 m/s och v(1) = 10 m/s. Arean under linjen, d v s sträckan, är en triangel med basen 1 och höjden 10, så arean är 10/2 = 5. Arean är lika stor som en rektangel med basen 1 och höjden lika med medelhastigheten, d v s 1*5 = 5.