Funktioner
För en andragradsekvation x²+ax+b=0 gäller för rötterna x₁ och x₂ att x₁ + x₂ = -a och x₁x₂ = b.
a) Vilket samband finns det mellan koefficienterna a, b, c och rötterna x₁, x₂, x₃ till tredjegradsekvationen x³+ax²+bx+c = 0?
b) Bestäm x₁² + x₂² + x₃² om x₁, x₂, och x₃ är rötter till ekvationen x³ + 3x² + x + 8 = 0.
Om vi börjar med a), kan någon ge mig en ledtråd?
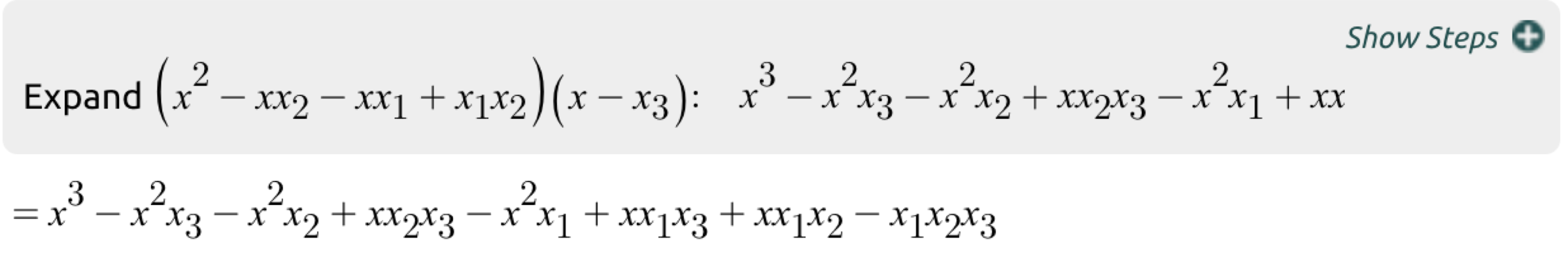
Jag fick veta av någon på ett forum att man skriver x³+ax²+bx+c=(x-x₁)(x-x₂)(x-x₃), sen att man utvecklar högerledet och sedan jämför koefficienter. Vet någon varför man gör så? Har svårt att tolka a), vad menar de med samband? Med ”samband” i a), menar de hur de förhåller sig till varandra? Alltså, att när den ena ändras, så ändras den andra med? Så frågan är att man ska ta reda på hur?

Det bästa sättet att beskriva ett samband mellan koefficienterna och rötterna är att skriva upp en ekvation som innehåller dem.