Gästartistens ålder
Undrar ifall min uträkning är korrekt/bra:
”Histogrammet visar åldersfördelningen i en grupp. Till gruppen kommer en gästartist. Gruppens medelålder ökar då med 0,9 år. Hur gammal är gästartisten?
4 st är mellan 20-30 år
8 st är mellan 30-40 år
7 st är mellan 40-50 år
3 st är mellan 50-60 år”
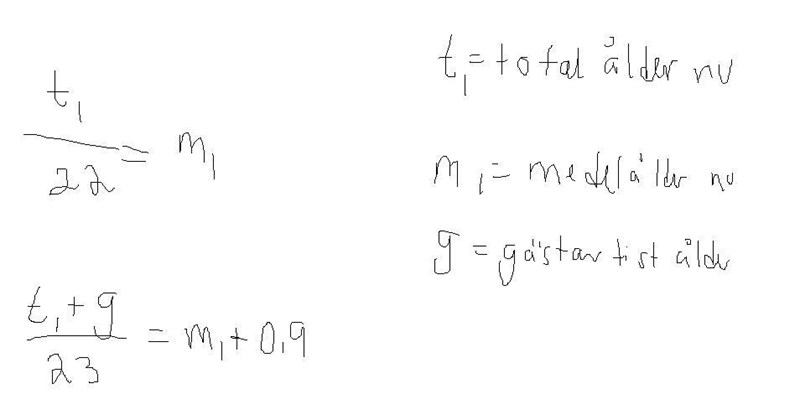
Min uträkning:
25*4 + 35*8 + 45*7 + 55*3 = 860
860/22 (antalet personer) ≈ 39år
23(gästartisten inkluderad)*0,9 ≈ 21år
39+21=60år
Säg att gästartisten är x år gammal. Då gäller det att . Kommer du vidare?
Det verkar som du räknar med att medelåldern i gruppen 20-30 år är 25 år o.s.v. Så behöver det ju inte vara. Exempelvis kan ju alla fyra i gruppen 20-30 år vara 22 år eller vilka åldrar däremellan som helst.
Att det dock totalt är 22 personer där är en viktig information.

Eftersom man inte vet åldern på de som är t ex mellan 20 och 30 år gamla, så är gissningen att deras medelålder är 25 år bättre än någon annan gissning. Dårför är det standard att göra så när man har ett klassindelat material, som i det här fallet.
Smaragdalena skrev:Eftersom man inte vet åldern på de som är t ex mellan 20 och 30 år gamla, så är gissningen att deras medelålder är 25 år bättre än någon annan gissning. Dårför är det standard att göra så när man har ett klassindelat material, som i det här fallet.
Om detta är enda informationen i frågan så behöver man göra ett sådant antagande. Personligen kan jag dock tycka att det bör framgå av frågan eller att det formuleras som "Uppskatta gästartistens ungefärliga ålder".
Det kan jag hålla med om.