Generaliserad integral
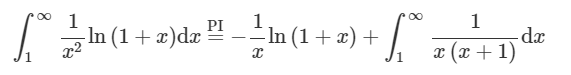
Hej, jag ska beräkna den generaliserade integralen och får fel svar. Jag undrar om någon ser vad som blir fel och om jag får dela upp integralen och bilda två primitiver. Visst får jag inte separera på dessa? Alltså beräkna deras värde var för sig. Jag infogar bild nedan på min uträkning
Du kan skriva ln(x) - ln(1+x) som ln(x/(1+x)).
Hmm, ser du vad som då blir fel? Testade att göra så där nere men fick fel svar då
Ser inte var felet kan ha uppstått :(
Ser rätt ut, och så summerar du delresultaten och får det korrekta svaret.
Det verkar som det har löst sig nu, men jag testade att använda partiell integrering och det ledde också fram till rätt svar (med lite krångel på ett ställe). Kan vara värt att testa också!
Tips om du vill testa:
Börja att använda partiell integrering genom att låta vara den "deriverade" funktionen... Sedan uppstår en integral:
och där kan man ansätta och då faller allt ut jättefint.
Hur blir det rätt? Jag får det till ln(2)-ln(1/2). ln(2) kommer från delen som jag kallar för 1 i min uträkning och ln(1/2) kommer från 2 och 3, alltså
Tror jag missar ett minustecken någonstans
Det är rätt svar, alltså .
Aaaah ser nu vad jag har gjort fel, tusen tack!
naytte skrev:Det är rätt svar, alltså .
Vill man inte förenkla till 2ln2?
Vill man inte förenkla till 2ln2?
Varför arbeta extra när man redan har svaret? Tid är pengar!
Så här tänkte jag för övrigt att man skulle kunna lösa uppgiften:
Bestämning av primitiv funktion av den sista integralen ger:
Så sammantaget har vi:
Här kommer vi till det jag menade är krångligt. Hur ska vi få ut vad som ska stå istället för i sinusfunktionen? Det är inte så svårt som man kan tro! Då så kommer , alltså måste:
, för något heltal .
Om vi använder samma resonemang för den undre gränsen ser vi att då så har vi:
, för något heltal . Vi har alltså:
Det ska kanske nämnas något också om slutsatsen att:
Tankeprocessen var bara att växer extremt långsamt då medan närmar sig noll extremt fort då . Så så länge det är "samma oändlighet" man stoppar in är det chill!
Jag tror part.bråk.uppdeln. av

ger lite kortare räkningar, som TS gjorde.
Ja, det kan hända. Ville bara visa ett alternativt sätt, det var nämligen så jag gjorde.
Förresten, varför blev :en så konstiga? Råkade du skriva in allt i \mathrm control sequencen istället för bara d?
Bilden togs från din 2:a rad (eftersom jag är lat... :) )

Men gud vad märkligt, så här ser det ut för mig:

naytte skrev:Men gud vad märkligt, så här ser det ut för mig:
Jag anv Chrome på Mac. Kanske är en felkälla?
Allmänt tycker jag Pluggakuten har dålig TeX-tolk så jag anv den aldrig.

