Hur får du gränserna på och ? Jag kanske tänker fel men jag tänker att avbildas på området som definieras av:
Jag tror att det har blivit lite fel i ditt variabelbyte. Ska det inte vara ? Vinkeln i för ska väl vara samma som vinkeln i för ?
Jag är inte hemma just nu, så jag kan inte ge en fullständig lösning, men om min huvudräkning är rätt borde väl svaret ges av:
.
Ger denna rätt svar då den löses?
naytte skrev:Jag är inte hemma just nu, så jag kan inte ge en fullständig lösning, men om min huvudräkning är rätt borde väl svaret ges av:
.
Ger denna rätt svar då den löses?
Det är iaf rätt numeriskt. Jag får samma, begränsningsyta = rak cirkulär kon med toppvinkel π/2.
Kul att höra!
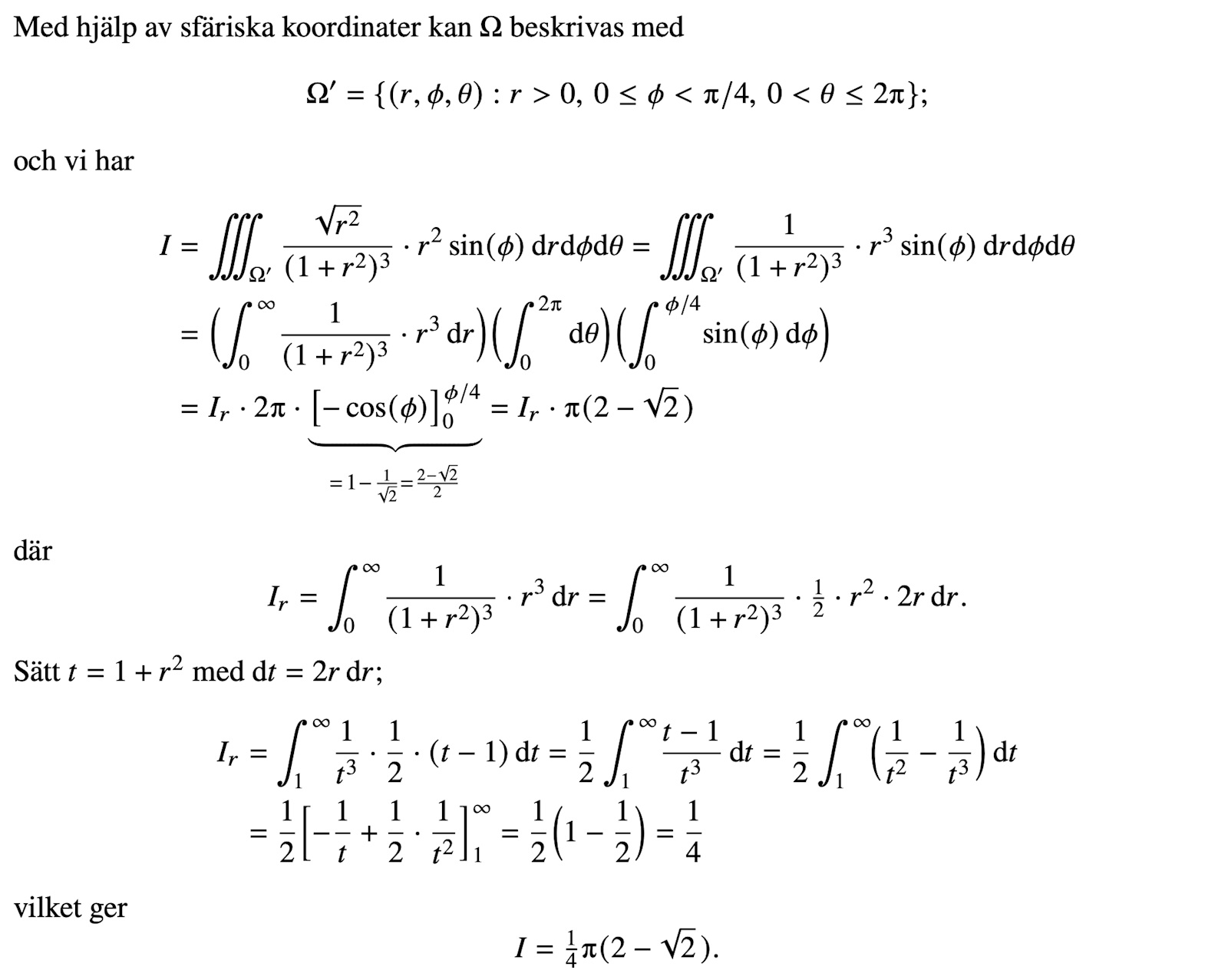
Jag kan ju utveckla lite kring hur jag kom fram till det nu när jag är hemma. Transformera koordinaterna på vanligt sätt:
Då vi genomför denna transformation avbildas på området som definieras enligt:
Vi vet att garanterat ligger i (kolatituden behöver bara täcka ett halvt varv för att man ska kunna ta sig vart som helst), så intervallet kan endast göras snävare. Då vi löser olikheten kommer vi fram till att och vi har:
Vidare avbildas areaelementet på elementet .
Vi har alltså:
Denna integral kan vi lösa genom itererad integrering där ordningen inte spelar någon roll eftersom , och är oberoende av varandra.
EDIT: fixade gränserna i
Syftar du på TS:s inlägg eller något av mina?
naytte skrev:Syftar du på TS:s inlägg eller något av mina?
Glöm det! Jag tänkte 1 steg längre fram
Något i stil med
Visa spoiler

Varför skulle inte kunna vara noll, och samma fråga för din (vi valde olika storheter för och )? Vi vill väl att origo ska ingå?
naytte skrev:Varför skulle inte kunna vara noll, och samma fråga för din (vi valde olika storheter för och )? Vi vill väl att origo ska ingå?
Jag yrade, jag tänkte på nästa steg då t=1
Avs. theta: Vad är konventionen? Inkluderar man samma punkt på "båda sidor"? (0,2π] är alla punkter.
Ah, du har givetvis rätt i att vi får samma punkt två gånger om vi inkluderar båda ändpunkterna. Där yrade jag lite :). Det spelar ju ingen roll för integralen ändå, så det är därför det är lite förvirrande.
Vad gäller konvention kör J. Månsson på samma som jag gjorde, men Wikipedia verkar köra på din.
naytte skrev:Ah, du har givetvis rätt i att vi får samma punkt två gånger om vi inkluderar båda ändpunkterna. Där yrade jag lite :). Det spelar ju ingen roll för integralen ändå, så det är därför det är lite förvirrande.
Vad gäller konvention kör J. Månsson på samma som jag gjorde, men Wikipedia verkar köra på din.
[0,2π) är nog snyggare.

