13 svar
33 visningar
L123 242
Postad: Igår 21:22

Globala extrempunkter

Hej,

Frågan är följande: 

Bestäm största och minsta värde av f(x,y)=x2y+2x-3y på cirkelskivan x2+y2<=4

Jag löste uppgiften och kontrollera mina värden på geogebra 3d och verkar ha fel. Vad är det jag gör fel?

Trinity2 4322
Postad: Igår 22:01

Det är nog bara ett räknefel när du finner nollställen,

naytte 7965 – Moderator
Postad: Igår 22:02 Redigerad: Igår 22:03

Jag hänger inte riktigt med på vad som händer i din lösning. Var använder du att x,yx,y ligger på cirkelskivan? Såvitt jag kan se räknar du bara på randen.

Funktionen kommer ju ha ett största och minsta värde på skivan även om de inte är en stationära punkter.

L123 242
Postad: Igår 22:04
Trinity2 skrev:

Det är nog bara ett räknefel när du finner nollställen,

Jag satte g'(theta)=0 och fick två vinklar, är det det som är fel?

L123 242
Postad: Igår 22:05
naytte skrev:

Jag hänger inte riktigt med på vad som händer i din lösning. Var använder du att x,yx,y ligger på cirkelskivan? Såvitt jag kan se räknar du bara på randen.

Funktionen kommer ju ha ett största och minsta värde på skivan även om de inte är en stationära punkter.

Jag räknar inre stationära punkter i steg 1 och får två punkter som ligger inuti cirklen vilket jag kontrollerade

naytte 7965 – Moderator
Postad: Igår 22:05 Redigerad: Igår 22:06

Ja men hur vet du att de största och minsta värdena på skivan är stationära punkter till ff?

L123 242
Postad: Igår 22:06 Redigerad: Igår 22:07

Det vet ju jag inte men stationära punkter kan vara globala extrempunkter. Jag kontrollerar randpunkter också. 

naytte 7965 – Moderator
Postad: Igår 22:08 Redigerad: Igår 22:09

Stationära punkter kan vara globala extrempunkter och om de råkar vara globala extrema har du rätt i att de också måste vara störst eller minst på skivan. Men om du har otur kan de ju vara lokala extrama också och då kan det ändå finnas x,yx,y som uppfyller x2+y24x^2+y^2 \le 4 som ger större värden på f(x,y)f(x,y) än de extrema du hittade.

Trinity2 4322
Postad: Igår 22:09

En liten figur

L123 242
Postad: Igår 22:09

Ja så långt är jag med. På geogebra visade det sig att de visst var lokala. Men mina randpunkter verkade inte heller ge korrekta globala punkter vilket är därför jag undrar vart det gick fel.

L123 242
Postad: Igår 22:12
Trinity2 skrev:

En liten figur

 

Jag förstår inte riktigt vad jag ska se från figuren. 

naytte 7965 – Moderator
Postad: Igår 22:26

Jag vet inte om detta skulle fungera, men en idé för att lösa uppgiften kan vara att parametrisera xx och yy i polära koordinater:

x(r,θ)=rcosθ\displaystyle x(r,\theta)=r\cos\theta

y(r,θ)=rsinθ\displaystyle y(r,\theta)=r\sin\theta

för r[0,2]r\in [0, 2] och θ[0,2π)\theta \in [0, 2\pi ).

Nu kan du söka stationära punkter eftersom vi har använt att våra x,yx,y faktiskt ligger på cirkelskivan (vilket ger vår specialfunktion här). Vid stationära punkter gäller som bekant df=0df=0 (tangentplanet till ytan är platt), vilket ger

df=fxxr+fyyrdr+fxxθ+fyyθdθ=0\displaystyle df=\left(\frac{\partial f}{\partial x}\frac{\partial x}{\partial r}+\frac{\partial f}{\partial y} \frac{\partial y}{\partial r}\right)dr+\left(\frac{\partial f}{\partial x}\frac{\partial x}{\partial\theta}+\frac{\partial f}{\partial y}\frac{\partial y}{\partial \theta}\right) d\theta=0

för alla dr,dθdr,d\theta.

Detta ger ett ekvationssystem som borde gå att lösa.

L123 242
Postad: Igår 22:32

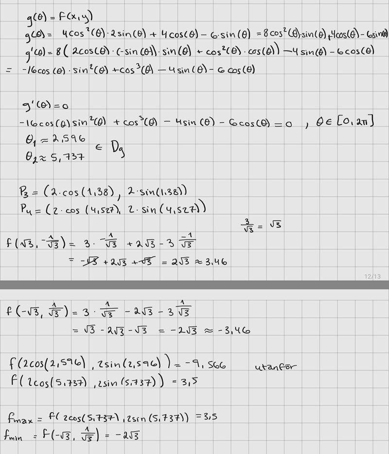
Jag parametrisera för att hitta randpunkter jag söker efter. Då är r=2, för mina punkter som ligger på randen är vid radie 2, och x=2 cos (θ), y=2 sin(θ). Jag fick g(θ)=f(x,y)=8cos2(θ)sin(θ) +4cos(θ) -6sin(θ)

Jag deriverade och satte g'(θ)=0 och löste punkterna grafiskt. Jag fick då två vinklar. Varför blir det fel? 

LuMa07 658
Postad: Igår 23:07 Redigerad: Igår 23:10
L123 skrev:

Jag deriverade och satte g'(θ)=0 och löste punkterna grafiskt. Jag fick då två vinklar. Varför blir det fel? 

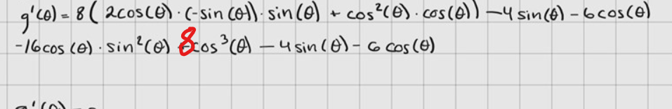
Derivatan g'(θ) har inte beräknats korrekt. Som figuren i #2 visar så har funktionen g(θ) (den gröna kurvan) totalt sex lokala extrempunkter inom en period, så ekvationen g'(θ)=0 ska ha sex olika lösningar i intervallet [0, 2pi]

Svara
Close