Gränsvärde
Här har vi ungefär samma problem men i ena har man räknat x=0 och y=0, men i de andra fallet har man beräknat x=y och y=0. Undrar vad det beror på?




Hej!
För att gränsvärdet ska existera måste man få samma svar oavsett hur punkten närmar sig punkten .
- I 1 dimension finns det bara två sätt som punkten kan närma sig punkten ; från höger eller från vänster.
- I 2 dimensioner finns det flera sätt som punkten kan närma sig punkten .
Om du kan finna två olika vägar som leder till olika svar när gränsvärdet beräknas längs dessa vägar, så betyder det att gränsvärdet (som ska vara samma tal längs alla tänkbara vägar) inte existerar.
Albiki skrev:Hej!
För att gränsvärdet ska existera måste man få samma svar oavsett hur punkten närmar sig punkten .
- I 1 dimension finns det bara två sätt som punkten kan närma sig punkten ; från höger eller från vänster.
- I 2 dimensioner finns det flera sätt som punkten kan närma sig punkten .
Om du kan finna två olika vägar som leder till olika svar när gränsvärdet beräknas längs dessa vägar, så betyder det att gränsvärdet (som ska vara samma tal längs alla tänkbara vägar) inte existerar.
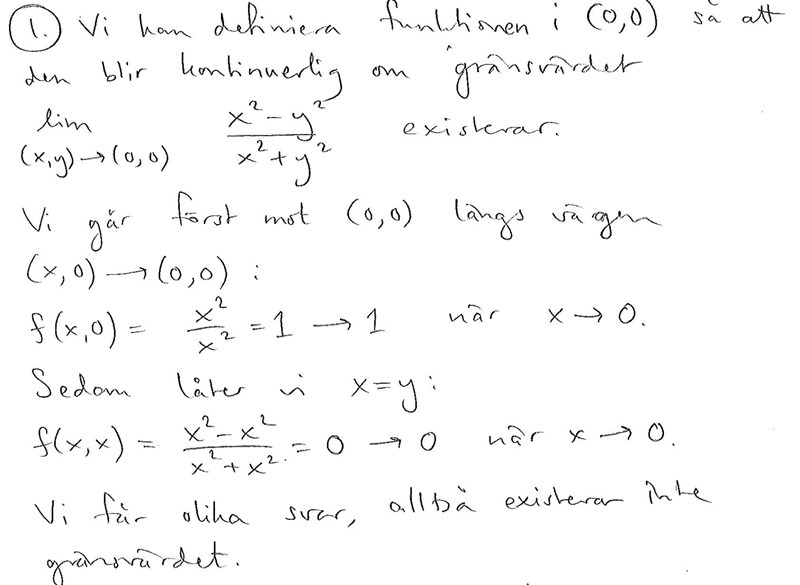
Men i andra fallet om man använder x=0 och y=0, då får man samma svar dvs ->1
Det är det jag fastnar på
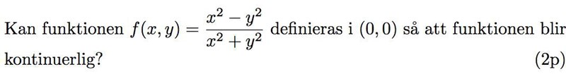
Då provar de en tredje väg, nämligen x = y, och får då ett annat svar, alltså är det omöjligt att hitta ett värde som gör funktionen kontinuerlig i origo.
nyfiken888 skrev:Albiki skrev:Hej!
För att gränsvärdet ska existera måste man få samma svar oavsett hur punkten närmar sig punkten .
- I 1 dimension finns det bara två sätt som punkten kan närma sig punkten ; från höger eller från vänster.
- I 2 dimensioner finns det flera sätt som punkten kan närma sig punkten .
Om du kan finna två olika vägar som leder till olika svar när gränsvärdet beräknas längs dessa vägar, så betyder det att gränsvärdet (som ska vara samma tal längs alla tänkbara vägar) inte existerar.
Men i andra fallet om man använder x=0 och y=0, då får man samma svar dvs ->1
Det är det jag fastnar på
Men det finns andra parametriseringar kvar, exempelvis , , etc. och de måste alla ge samma resultat.