4
svar
60
visningar
Gränsvärde
Hej! Jag förstår inte steget, hur de kom från till ?

Tack på förhand!
Kanske finns det lite mer information i den ursprungliga uppgiften. Kan du ladda upp den?
Kanske hade de bara slarvat och ville skriva:
Resultatet är detsamma.
Tack för svar! men även om de kanske menar så som du skrev så förstår jag inte hur de får fram det? varför blir
samma sak som ?
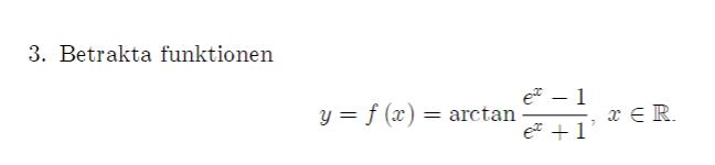
Nedan är uppgiften:


Det är inte ex som blir e-x. De delar med ex. ex blir 1, medan 1 blir e-x.
Och nu är jag säker på att de gjorde bara slarvfel.
Ahh då förstår jag! Tack för hjälpen!:)