2 svar
111 visningar
Fysiker90 behöver inte mer hjälp
Fysiker90 17 – Fd. Medlem
Postad: 27 maj 2022 18:57

Green's formel

 

Hejsan!

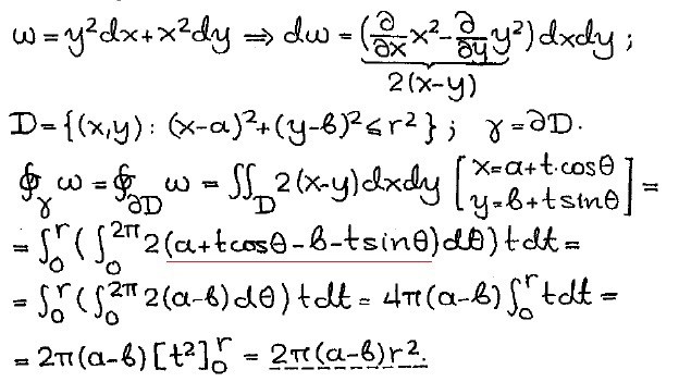
jag har följande tal: γy2dx+x2dy  där γ är cirkeln (x-a)2+(y-b)2=r2

Facit till uppgiften är som följande:
Jag fårstår inte det understruckna, hur tcosθ-tsinθ försvinner.

Misstänker det är någon trigonometrisk formel som används men inte vilken.

Skulle uppskatta om hjälp så jag kan förstå denna lösning.

 

Tack på förhand!

D4NIEL 3507
Postad: 27 maj 2022 20:12 Redigerad: 27 maj 2022 20:21

Integralen cos(θ)dθ\int \cos(\theta)\,d\theta över en hel period (hela cirkeln) är ju noll. Detsamma gäller sin(θ)dθ\int\sin(\theta)\,d\theta

Du kan också se det som att medelvärdet av cos(θ)\cos(\theta) är 00 eller att det ligger lika mycket area under som över kurvan osv.

sin(θ)\sin(\theta) Arean av det blå området är lika stor som arean av det rosa området.

02πsin(θ)dθ=0\int_0^{2\pi}\sin(\theta)\,d\theta=0

Fysiker90 17 – Fd. Medlem
Postad: 27 maj 2022 20:37 Redigerad: 27 maj 2022 20:38

Nu när du nämner det kommer det tillbaka för mig, tack!

Svara
Close