Har jag beräknat kroppens area rätt?
Halloj!
Jag sitter med följande uppgift:

Jag har ett försök men jag är osäker på om jag har gjort rätt och vill helst undvika att tjuvkika i facit. Så här har jag gjort:
Jag har ritat upp kurvan enligt följande skiss:

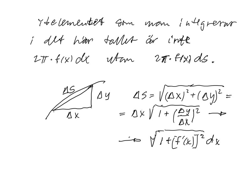
Jag har även skapat ett infinitesimalt tunnt rektangulärt område med bredd . Min tanke är att om man roterar detta område runt -axeln så borde man få en typ av skiva. Denna skivan kommer ju ha höjden och omkretsen , så arean av skivans sida borde ju bli .
Sedan tänker jag att man helt enkelt gör en oändlig summering av alla dessa infinitesimalt små ytor längs -axeln enligt:
Är detta ett OK resonemang eller är det helt fel?
EDIT: vänta nu, är det kanske man ska använda, alltså förändringen i kurvans längd? Det kanske spelar roll här eftersom vi tittar på area och inte volym.
Ja, ditt dA är i själva verket en volym. Arean beror på hur mycket kurvan lutar.
Varför beror endast arean på lutningen men inte volymen? Råkar det bara vara så att approximeringen dy är tillräckligt bra i volymberäkningen att integralen konvergerar mot volymen, medan samma approximering inte fungerar här eftersom felet blir för stort?
naytte skrev:Varför beror endast arean på lutningen men inte volymen? Råkar det bara vara så att approximeringen dy är tillräckligt bra i volymberäkningen att integralen konvergerar mot volymen, medan samma approximering inte fungerar här eftersom felet blir för stort?
Så här?

Jag kanske var otydlig i min fråga.
Det jag undrar är varför man måste räkna med längdelementet:
då man beräknar areor, men inte behöver göra detta då man beräknar volymer. När man vill beräkna rotationsvolymer och delar in det aktuella området i rektanglar med bredd eller så är ju detta också egentligen en approximering som inte tar hänsyn till att kurvan böjs, men denna approximering ger ändå rätt svar i slutändan. Men en sådan approximering verkar ju inte fungera i fallet då man beräknar en area, utan där måste man ta hänsyn till att kurvan lutar. Varför är det så?
Jag har inget svar, men eftersom det känns som en väldigt fundamental grej att förstå så bumpar jag till den lite genom att ge ett annat exempel som jag tror kanske är relaterat.
Om vi utgår från din funktion , varför kan man skriva arean mellan kurvan och x-axeln som
(summera rektanglar med bredden dx)
men man kan ju uppenbarligen inte skriva längden på kurvan som
?
Jag tror att felet inte blir försumbart. Förhållandet mellan dx och ds på ett kurvstycke är oförändrat då de blir mindre och mindre. Rita en kurva och rita ut ds och dx som en triangel ser du nog det. Det gäller dock inte felet som skapas av volymen. Förhållandet mellan felet och det verkliga värdet förändras och felet blir (relativt) mindre. Felet i detta fall är triangeln som du ritade med ds och dx!
Nä just det, felet blir inte försumbart. Men hur vet man när felet konvergerar mot noll och när det inte gör det?
Jag är inte säker men lite slarvigt kan man kanske säga att om felet går mot 0 snabbare än det man försöker approximera blir det försumbart?
JohanF skrev:Nä just det, felet blir inte försumbart. Men hur vet man när felet konvergerar mot noll och när det inte gör det?
Ett sätt är att uppskatta felet med en Taylorutveckling.
För en strängt växande funktion är arean av en infinitesimal stapel större än och mindre än . Uttrycket för kan vi taylorutveckla:
Nu ser vi att det största möjliga felet
Låter vi bli väldigt liten och använder snälla funktioner kommer bidraget från stapeln själv, dvs alltså vara mycket större än det maximala felet som är av storleken .
På samma sätt skulle varje skivas volym vara mycket större än felet vid en volymberäkning enligt skivmetoden. Men när vi räknar areaelement på det sätt naytte ville göra i den ursprungliga uppgiften visar det sig att felet och bidraget är av samma storleksordning. Vi behöver hitta en mer precis metod för att bestämma ett lämpligt areaelement.
D4NIEL skrev:JohanF skrev:Nä just det, felet blir inte försumbart. Men hur vet man när felet konvergerar mot noll och när det inte gör det?
Ett sätt är att uppskatta felet med en Taylorutveckling.
För en strängt växande funktion är arean av en infinitesimal stapel större än och mindre än . Uttrycket för kan vi taylorutveckla:
Nu ser vi att det största möjliga felet
Låter vi bli väldigt liten och använder snälla funktioner kommer bidraget från stapeln själv, dvs alltså vara mycket större än det maximala felet som är av storleken .
På samma sätt skulle varje skivas volym vara mycket större än felet vid en volymberäkning enligt skivmetoden. Men när vi räknar areaelement på det sätt naytte ville göra i den ursprungliga uppgiften visar det sig att felet och bidraget är av samma storleksordning. Vi behöver hitta en mer precis metod för att bestämma ett lämpligt areaelement.
Tack D4NiEL! (det smög sig in ett litet typo där eller hur? Största möjliga fel )
Det som jag upplever lite frustrerande med det som naytte's exempel visar, är att den analys som du just gjorde verkar ska tas som som en självklarhet och trivialitet. I matematik på universitetsnivå brukar inte litteraturen nöja sig med att presentera lösningsmetoder likt "recept", utan att samtidigt argumentera för varför just den och ingen annan metod är riktig.
Jag gillar resonemanget med Taylorutvecklingar mycket! Era kommentarer fick mig att fundera lite (särskilt din, JohanF) och just angående varför integralen kan uttryckas som den gör kan man nog resonera så här också (lite heuristiskt):
Låt vara en icke-avtagande funktion. I så fall har vi, som D4NIEL påpekade, att:
, för någon infinitesimal
Om vi använder Taylorutvecklingar här igen har vi alltså:
Här kan vi alltså stänga in den sökta integralen av mellan integralerna av båda våra taylorserier. Men eftersom alla derivator av grad multipliceras med en infinitesimal av grad (förutom termen ) måste det betyda att både VL och HL blir den sökta integralen vid integrering.
Jag tänker ungefär lika som du.
(Puh! Så skönt att slippa behöva börja tvivla på att integralkalkylens fundamentalsats verkligen stämmer 😃)
Men jag undrar hur Leibniz kom fram till det här. Han kan ju knappast ha använt taylorpolynom, för dessa fanns ju inte när han uppfann integralen.
Jag kan hålla med om att grundkurserna i många fall hoppar över integrationsmetoder i en dimension, ofta får det räcka med det man lärde sig i gymnasiet. Detta kan delvis förklaras av att kursplanen måste prioritera ett brett spektrum av viktiga moment på väldigt kort tid, särskilt inom civilingenjörsprogrammen. Samtidigt verkar tanken vara att dessa frågor främst ses som en del av flerdimensionella problem, där lösningsmetoderna behandlas mer ingående i senare kurser.
Apropå flervarre tänkte jag visa hur man löser ytintegralen med just sådana metoder. Det första vi behöver göra är att parametrisera ytan. Eftersom vi snurrar runt y-axeln är problemet symmetriskt i radiell led (i -planet). Vidare är höjden över -planet och radien sammankopplade, för en given radie är höjden över -planet . Om vi lånar standarduttrycket för cylinderkoordinater och skyfflar om så att är "höjden" får vi
Kryssprodukten mellan två vektorer ger oss arean av en parallellogram, och som man visar i flervarren kan vi nu bilda ett infinitesimalt (vektoriellt) ytelement enligt
Arean bestäms genom att integrera absolutbeloppet av :
Jag blev lite nyfiken på detta.
Några övningar kring volym och mantelarea på en sfär ()
Volymen av rotationskroppen kring x-axeln av funktionen i intervallet ,

med volymdifferentialen (dvs med tjockleken dx på "skivan")
Mantelarean av rotationskroppen kring x-axeln, med ytdifferentialen
(dvs med bredden dl på "skivan")
"Mantelarean" av rotationskroppen kring x-axeln, med ytdifferentialen
(dvs med bredden dx på "skivan")
Tillägg: 12 jan 2025 20:27
(Man skulle också kunna lösa sista integralen med en tabellerad primitiv funktion, tex nr30 https://www.integral-table.com/)
