Du bör alltid alltid kontrollera din primitiva funktion genom att derivera den. Får du då fram ursprungsfunktionen så var din primitiva funktion rätt, annars inte.
Yngve skrev:Du bör alltid alltid kontrollera din primitiva funktion genom att derivera den. Får du då fram ursprungsfunktionen så var din primitiva funktion rätt, annars inte.
Yes det är sant. Jag gör nog det på en gång!
Bra. Om du tar för vana att alltid göra det så minskar risken att du lägger tid på att fortsätta med en felaktig lösning.
Yngve skrev:Bra. Om du tar för vana att alltid göra det så minskar risken att du lägger tid på att fortsätta med en felaktig lösning.
När jag deriverar vår uppgift funktion får jag - 6(3x+1)^2/(3x+1)^6
Mahiya99 skrev:
När jag deriverar vår uppgift funktion får jag - 6(3x+1)^2/(3x+1)^6
Nej hur då?
Dracaena skrev:
Okej så om vi deriverar u så får vi 3
Visa hur du gör när du deriverar
Yngve skrev:Mahiya99 skrev:
När jag deriverar vår uppgift funktion får jag - 6(3x+1)^2/(3x+1)^6
Nej hur då?
Jag använde kvotregeln och sen tänkte jag att exponenten 3 som 3x+1 har ska också deriveras eftersom det blir som inre derivata. Nu pratar jag om deriveringen för funktionen som uppgiften gav oss.
Du behöver inte använda kvotregeln eftersom nämnaren inte beror på x.
Däremot behöver du använda kedjeregeln eftersom du har en sammansatt funktion.
Och det är inte ursprungfunktionen f(x) du ska derivera, det är ditt förslag på primitiv funktion F(x) du ska derivera.
Detta eftersom det måste gälla att F'(x) = f(x) för att F(x) ska vara en primitiv funktion till f(x).
Yngve skrev:Du behöver inte använda kvotregeln eftersom nämnaren inte beror på x.
Däremot behöver du använda kedjeregeln eftersom du har en sammansatt funktion.
Och det är inte ursprungfunktionen f(x) du ska derivera, det är ditt förslag på primitiv funktion F(x) du ska derivera.
Detta eftersom det måste gälla att F'(x) = f(x) för att F(x) ska vara en primitiv funktion till f(x).
Ok
Det här stämmer inte.
Om du multiplicerar in tvåan i parentesen måste du ta hänsyn till att parentesen är upphöjd till 2.
Men multiplicera inte in utan låt den vara utanför.
Och visst var ursprungfunktionens parentes 3x plus 1?

Yngve skrev:Det här stämmer inte.
Om du multiplicerar in tvåan i parentesen måste du ta hänsyn till att parentesen är upphöjd till 2.
Men multiplicera inte in utan låt den vara utanför.
Och visst var ursprungfunktionens oarentes 3x plus 1?
Precis det blev tecken fel där. Jag multiplicerade in för att göra det lättare för mig själv bara.
OK bra, då börjar vi om.
Vad är då ditt nya förslag på primitiv funktion?
Och visa hur du kontrollerar att den stämmer.
Yngve skrev:OK bra, då börjar vi om.
Vad är då ditt nya förslag på primitiv funktion?
Och visa hur du kontrollerar att den stämmer.
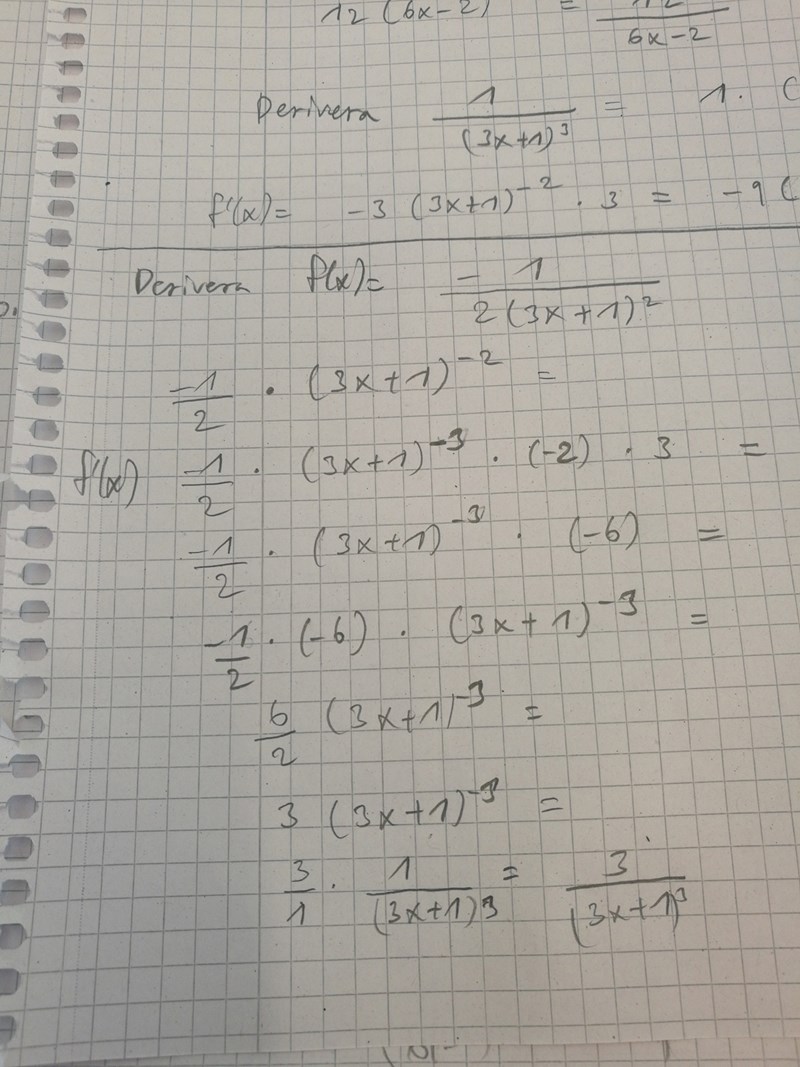
Det var - 1/2(3x+1)^2
Jag förstår nu varför vår uppgift funktion är som den är. Man måste alltså multiplicera nämnaren med inre derivatan också
Jaha, är detta matte 4? Skit i mitt inlägg ovan, det är ingenting man lär sig i matte 4.
OK vad kommer du alltså fram till?
Yngve skrev:OK vad kommer du alltså fram till?

OK det ser bra ut.
Yngve skrev:OK det ser bra ut.
Skönt!





