Har jag tänkt rätt? - bestäm ekvation för linje som skär i planet
Halloj!
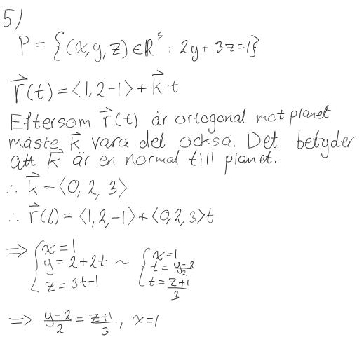
Uppgiften är:
Jag har gjort så här (screenshot från min iPad):

Ser detta rätt ut? Försökte grafa min linje i Desmos men det funkade inte.
Ser rätt ut.
Linjens riktning är normal till planet och linjen skär även punkten (för t=0). Så det verkar stämma bra.
Okej, tack! Jag känner att jag börjar få lite kläm på 3D-geometrin nu :D
Varför fick du inte till Desmos förresten? Det är ett superbra verktyg att använda för att visualisera i 3D.
Vet inte. Jag har grafat linjer tidigare i Desmos men nu när jag försöker skriva in ekvationen så här:

så förstår den inte. Om jag istället skriver så här:


får jag inte en linje. Och om jag skriver så här:


får jag en linje som inte är ortogonal mot planet.
Om inte jag blir årets Pluggakutare nu så vet jag inte vad /s

Ah, borde ha fattat själv att det är så man ska skriva, eftersom man använder samma notation i 2D-desmos... Tack så mycket!