Hastighet och Sträcka
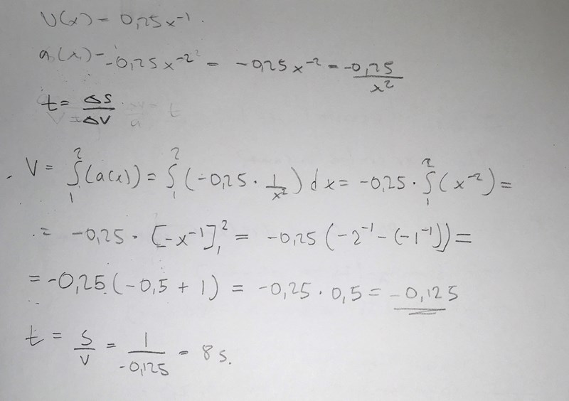
Tiden=Sträckan delat på hastigheten. Sträckan är en meter och hastigheten under det givna intervallet tänker jag mig borde gå att lösa ut med hjälp av en integral efter man deriverat hastighetsfunktionen. Dock så får jag felaktigt svar på 8 s istället för det korrekta värdet, 6 s.

Bumpar min tråd. Jag behöver hjälp!
Ja hoppas du får svar. Jag är också nyfiken på detta.
Hastigheten är samma sak som derivatan av förflyttningen (x) med avseende på tiden (t), med andra ord . Med hjälp av det kan man ställa upp en separabel differentialekvation:
Skriv om ekvationen till
Nu kan vi integrera högerledet från x1=1 m till x2=2 m och högerledet från t1=0 till t2=t, dvs
Kommer du vidare därifrån?
Tack så oerhört mycket! Jag klarade det därifrån.
Jag gillar inte att framstå som en jobbig elev men... Varför fungerar inte min metod?
Det är bra att fråga så att man kan lära sig av sina misstag!
Eftersom du har kallat derivatan av v(x) för a(x) så antar jag att du har försökt räkna ut accelerationen, men accelerationen är ju derivatan av hastigheten med avseende på tiden och inte sträckan som i det här fallet. Ett annat problem är att du har försökt räkna ut hastigheten för att kunna stoppa in den i t=s/v, men saken är den att det finns inte finns en hastighet eftersom den ständigt förändras enligt funktionsuttrycket.
Aha! Nu blev det klarnare!
Återigen, tack för din assistans.
OK jag förstår att mina kunskaper inte är tillräckliga. En repetition av matte 4 är nödvändig.
Det skulle ändå vara intressant om en av er har ork att visa uträkningen eftersom jag just nu repeterar integraler i matte 3.
ConnyN skrev :OK jag förstår att mina kunskaper inte är tillräckliga. En repetition av matte 4 är nödvändig.
Det skulle ändå vara intressant om en av er har ork att visa uträkningen eftersom jag just nu repeterar integraler i matte 3.
Ta fram primitiva funktioner:
Sätt in värdena:
Förenkla:
Lös ut och beräkna t:
Tack för den mycket tydliga sammanställningen.
Den går att förstå även för mig och ger mig inspiration att läsa mer.