10 svar
901 visningar
Jonto behöver inte mer hjälp
Jonto 9330 – F.d. Moderator
Postad: 23 apr 2024 14:47 Redigerad: 23 apr 2024 14:47

Hastighet på Missil- hjälp till en intresserad elev

Hej!

Jag arbetar som lärare (inte i fysik dock) och har en elev som är väldigt intresserad av missiler och stridsflygplan och spelar olika simulationsspel där man skjuter missiler.

Han vill räkna ut vilken hastighet som missilerna kan komma upp i om man inte tar hänsyn till luftmotståndet.

Vilken information om missilen och omstänfigheterna behövs för att kunna göra en någorlunda rimlig beräkning av detta? Vad för typ av formel/teori behöver man behärska? Finns något bra lästips?

(Eleven går i högstadiet men jag kan nog som lärare om jag själv förstår det, kunna förklara det på en rimlig nivå. Han behöver inte heller förstå allt, utan vill mest kunna veta ett sätt att beräkna det).

Hoppas någon kan ge mig lite ledning :)

Pieter Kuiper 9458 – Avstängd
Postad: 23 apr 2024 22:57 Redigerad: 23 apr 2024 23:04
Jonto skrev:

Han vill räkna ut vilken hastighet som missilerna kan komma upp i om man inte tar hänsyn till luftmotståndet.  

Ballistiska missiler, sådana som USA och Ryssland kan skjuta atombomber på varandra med, är nog relativt enkla att räkna på. De går ju upp över atmosfären men inte jättehögt (tror jag) och då kan man ta g10 m/s2g \approx 10 \ {\rm m/s}^2. Då blir det en vanlig kastbana, fast inte på plan mark utan på en sfär.

Det går säkert att googla fram hur högt de kommer. Och då är det möjligt att uppskatta hastigheterna.

Dessa har en raketmotor på bara i början, resten av banan är ballistisk.

"Cruise missiles" är något helt annat, då är motorn på. Jag gissar att vissa går i överljudsfart. 

SaintVenant 3999
Postad: 24 apr 2024 11:06

Notera att de vapen som jaktflygplan bestyckas med formellt heter robot på svenska, inte missil, läs kort på Wikipedia om det:

https://sv.m.wikipedia.org/wiki/Robot_(vapen)

Om man inte tar hänsyn till luftmotstånd finns i princip ingen begränsning på hastighet för den typ av robotar som stridsflygplan avfyrar. Jag tycker inte den betraktelsen är nära verkligheten utom för de interkontinentala ballistiska robotarna, som Pieter pratar om. De når upp i exosfären och kan till och med gå i omlopp runt jorden. 

Naej, om den här killen vill räkna på de robotar som Gripen eller F-35 avfyrar, till exempel, blir det en annan sak. Något man kan göra, för att uppskatta hastigheten, är att räkna med vissa förenklingar, då blir det inte så svårt. Men, det kräver kanske att man börjar nosa på gymnasiefysik. 

Jonto 9330 – F.d. Moderator
Postad: 24 apr 2024 17:45

Tack för svar. Jag förstår att det inte är så himla enkelt att göra en uppskattning då det är ganska många saker som man egentligen måste ta hänsyn till.

Jag hittade något exempel här på en "ballistic missile" 

https://testbook.com/question-answer/calculate-the-velocity-of-aballistic-missile--60a66cd5100423d025ebdd07

där de räknade ut dess hastighet med formeln P=mv där m är massan, p är momentum(jag antar rörelseenergin när den avfyras?) och v är hastigheten.

Vet inte om det är något som går att använda sig av och applicera. Men då vet jag inte hur man ska få fram "momentumet", utan att redan veta hastigheten.

Pieter Kuiper 9458 – Avstängd
Postad: 24 apr 2024 18:12 Redigerad: 24 apr 2024 18:13
Jonto skrev:

där de räknade ut dess hastighet med formeln p=mv där m är massan, p är momentum(jag antar rörelseenergin när den avfyras?) och v är hastigheten. 

Där står p för rörelsemängd.

Man kan räkna ut rörelsemängd av raketer utifrån rörelsemängdens bevarande och massan av bränsle som används om man antar en hastighet för avgaserna (som är av storleksordningen ljudets hastighet). Och massan för raketen förstås.

Det går nog att hitta specifikationer, i alla fall för äldre raketer. Och så finns det rakethobbyister.

SaintVenant 3999
Postad: 24 apr 2024 21:21

Du kan använda den enklare raketekvationen med en del antaganden:

v1=vg·ln m0m1v_{1}=v_{g}\cdot \ln \ \dfrac{m_0}{m_1}

Där v1v_1 är sluthastigheten om roboten antas ha noll starthastighet och att den åker i en rak bana, vgv_g är gasernas hastighet, m0m_0 är startmassa och m1m_1 är slutmassa.

Här kan man till exempel göra ganska enkla google-sökningar för att hitta dessa olika saker och uppskatta. Problemet med robotar som Meteor är att den har en Ramjet vilket försvårar beräkningen en del. Bättre är att räkna på en AIM-9 Sidewinder.

Exempel på värden från googling

AIM-9 Sidewinder har en maxhastighet runt Mach 3 - 3.5 vilket gör att du kan bakåträkna m1m_1 genom att använda m0=85.3 kgm_0 = 85.3 \ kg. Gasernas hastighet vgv_g är lite svårare, men kan uppskattas genom att göra provskott med att den är lika med ljudets hastighet.

Sedan kan du använda beräknad sluthastighet v1v_1 och ta fram medelacceleration med tiden 5.23 sekunder. Denna kan sedan användas för att ta fram medelvärde på drivkraft som för AIM-9 Sidewinder är runt 12 kN. Då får du en aning om ifall uppskattningen av gasernas hastighet är nära verkligheten, även om du inte tagit hänsyn till luftmotstånd (linjär eller kvadratisk).

Jonto 9330 – F.d. Moderator
Postad: 24 apr 2024 22:12 Redigerad: 25 apr 2024 17:52

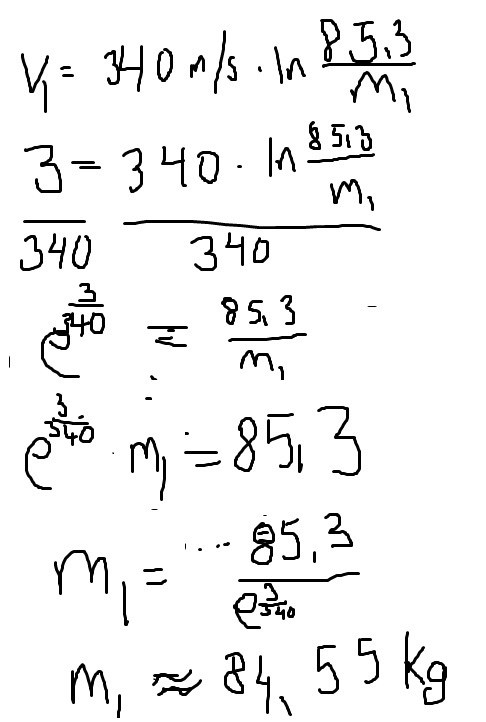
Förstod jag dig rätt om du menade att jag kan sätta in värdena från ditt exempel på detta sätt och att det jag då fått fram är att AIM 9 Sidewinder givet dess maxhastighet är 3 Mach, gasernas hastighet lik ljudets(340 m/s) och att den väger 85,3 kg vid start. Så har jag fått fram att den i slutet efter bränsleförluster väger 84,55 kg.

Sedan förstod jag nog inte helt andra delen- Vad jag ska göra där?

Sedan kan du använda beräknad sluthastighet och ta fram medelacceleration med tiden 5.23 sekunder. Denna kan sedan användas för att ta fram medelvärde på drivkraft som för AIM-9 Sidewinder är runt 12 kN. Då får du en aning om ifall uppskattningen av gasernas hastighet är nära verkligheten, även om du inte tagit hänsyn till luftmotstånd (linjär eller kvadratisk).

Kan dessa beräkningar sedan leda till att om jag vet startmassan för andra missiler(Jag tror han pratade om att han hade någon missil på 350 kg) och har fått fram ett rimligt värde på gasernas hastighet, kunna räkna ut dess sluthastighet. Förbränner alla missiler ungefär lika stort procentuell mängd bränsle under sin färd?


Jag gissar att det nog inte kommer att gå att få fram något exakt vetenskapligt svar men han blir nog glad om vi kan förstå lite mekanismerna/fysiken bakom hur det fungerar och kanske kan nå något form av svar. 

SaintVenant 3999
Postad: 25 apr 2024 08:44 Redigerad: 25 apr 2024 08:53
Jonto skrev:

Det ska stå 340 gånger 3 i vänsterledet, för Mach 3. 

Förstod jag dig rätt om du menade att jag kan sätta in värdena från ditt exempel på detta sätt och att det jag då fått fram är att AIM 9 Sidewinder givet dess maxhastighet är 3 Mach, gasernas hastighet lik ljudets(340 m/s) och att den väger 85,3 kg vid start. Så har jag fått fram att den i slutet efter bränsleförluster väger 84,55 kg.

Ja, precis. När du gjort det korrekt kan du sedan ge alla siffror utom sluthastigheten du hade som input till eleven och låta den räkna ut det (Om det var ett räkneexempel du ville ge denne). Tänk nu på att göra en rimlighetsbedömning av bränslets vikt m0-m1m_0-m_1 du får fram. Justera gasens hastighet om du får ett orimligt svar och räkna om.

En enklare genomgång av raketekvationen via Wikipedia kan nog också vara bra. Den är inte särskilt komplicerad egentligen. 

Sedan förstod jag nog inte helt andra delen- Vad jag ska göra där?

Sammanfattningsvis ska du justera dina approximationer baserat på vissa kända data, så som drivkraft och ramp-up tid / accelerationstid för AIM-9 Sidewinder. Samma procedur gäller alla robotar med rakemotor som bränner fast bränsle.

För vissa vapensystem är till och med vikten på bränslet känt och då har du ett riktvärde där.

Kan dessa beräkningar sedan leda till att om jag vet startmassan för andra missiler(Jag tror han pratade om att han hade någon missil på 350 kg) och har fått fram ett rimligt värde på gasernas hastighet, kunna räkna ut dess sluthastighet. Förbränner alla missiler ungefär lika stort procentuell mängd bränsle under sin färd?

Njae, inte riktigt. Det kommer bli olika parametrar för olika robotar. Jag kan fråga en expert på raketmotorer jag känner och se om han har en idé på något pedagogiskt svar, eller en förenkling.

Jag gissar att det nog inte kommer att gå att få fram något exakt vetenskapligt svar men han blir nog glad om vi kan förstå lite mekanismerna/fysiken bakom hur det fungerar och kanske kan nå något form av svar. 

Då tycker jag speciellt att det är just raketekvationen, förbränning, gasutveckling, Newtons tredje lag, kritiska punkten för aerodynamik och liknande som bör vara som mest intressant.

Jonto 9330 – F.d. Moderator
Postad: 25 apr 2024 17:29 Redigerad: 25 apr 2024 17:56

Det ska stå 340 gånger 3 i vänsterledet, för Mach 3. 

Tänkte väl nästan att det blev lite märkligt. Då får jag istället fram det till m1=85,3/(e^3)=4,25 kg.....

. Justera gasens hastighet om du får ett orimligt svar och räkna om.

Förstår nog inte riktigt vad som skulle vara rimligt. Är det att eftersom raketer till ca. 90-95 % består av bränsle så borde slutvikten vara att 90-95 % har förbrännts och att 5-10 % av vikten återstår?

Då tycker jag speciellt att det är just raketekvationen, förbränning, gasutveckling, Newtons tredje lag, kritiska punkten för aerodynamik och liknande som bör vara som mest intressant.

Bra, då har jag lite saker att ta tag i och att läsa på om. 

SaintVenant 3999
Postad: 26 apr 2024 09:38 Redigerad: 26 apr 2024 09:43
Jonto skrev:

Justera gasens hastighet om du får ett orimligt svar och räkna om.

Förstår nog inte riktigt vad som skulle vara rimligt. Är det att eftersom raketer till ca. 90-95 % består av bränsle så borde slutvikten vara att 90-95 % har förbrännts och att 5-10 % av vikten återstår?

När det gäller robotar med fast bränsle som bär en verkansdel säger experten att man kan anta:

mbransle=mrobot-mverkansdel2m_{br\ddot{a}nsle} = \dfrac{m_{robot}-m_{verkansdel}}{2}

Alltså att bränslet har en 1:1 proportion med strukturella detaljer så som skal, tuber, vingar, nos etc.

Total vikt på roboten samt enbart verkansdel / warhead brukar stå på Wikipedia eller div. entusiast-forum. 

Luftmotstånd 

En annan viktig notis är att luftmotstånd egentligen är sjukt viktigt, speciellt när man närmar sig kritisk aerodynamik. Så, alla verkliga värden som används för justering av beräkningen kommer så klart inte riktigt stämma eftersom man inte tagit hänsyn till luftmotstånd. 

Man kan hantera det genom att helt enkelt ställa upp Newtons andra lag och anta att:

Fluft=k1·vF_{luft} =k_1\cdot v

För v<vkritiskv<>, följt av:

Fluft=k2·v2F_{luft}=k_2\cdot v^2

För v>vkritiskv>v_{kritisk}. Detta är också en förenkling men lite närmre. Exakt vad konstanterna k1,k2k_1,k_2 är lika med kan uppskattas av tvärsnittsarea, profilarea etc. gånger luftens densitet. Annars kan man använda CdC_d-parametrar. 

Det du nu har är en differentialekvation som du kan lösa. Det finns många guider online på hur man löser en sådan och Wolfram alpha kan lösa den automatiskt.

Jonto 9330 – F.d. Moderator
Postad: 26 apr 2024 15:36 Redigerad: 26 apr 2024 15:36

Intressant med bränsleberäkningarna. Jag har bett honom att se om han kan hitta någon information om raketerna/missilerna som han använder i sitt spel och simulationer vad gäller bränslet.

Svara
Close