5
svar
111
visningar
edinaissa behöver inte mer hjälp
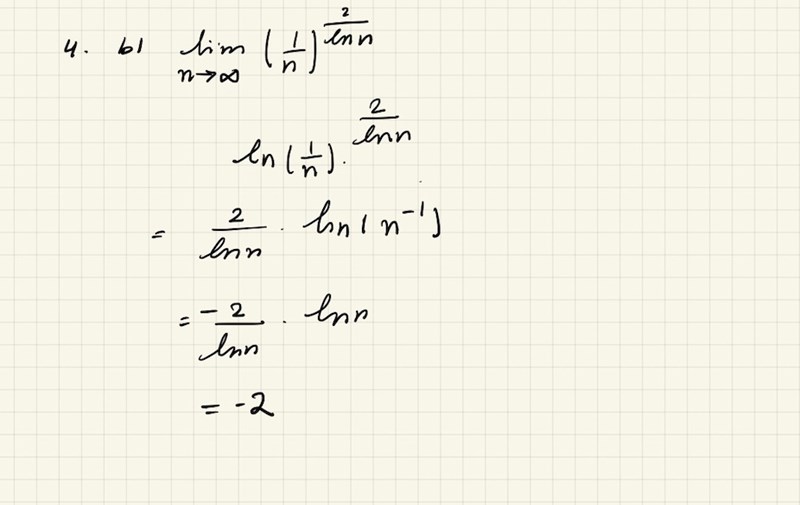
Hitta Gränsvärde
Har funderat länge på den här frågan b) men fattar inte varför de för e^-2 istället bara för -2
. Jag förstår inte varför de höjer uttrycket med basen e 

lösningsförslaget
Hur blev till ? Det borde bli .
kan man inte ta logaritmen till (1/n) direkt? var måste jag ta e^ln^(...)?
Eftersom uttrycken inte betyder samma sak. Du kan inte bara ändra på någonting sådär. Precis på samma sätt som är .
Jaha juste! Håller på att glömma gymnasiematten här. Tack för svar!